Foram encontradas 138 questões.
Compostos pela documentação preparada pelo auditor ou a ele fornecida na execução da auditoria, os papéis de trabalho possuem as seguintes características, exceto:
Provas
Questão presente nas seguintes provas
Em relação ao tema 'contingências', podemos afi rmar que o trabalho do auditor visa identifi car as seguintes ocorrências, exceto:
Provas
Questão presente nas seguintes provas
Sobre os temas 'risco de auditoria' e 'relevância', é correto afi rmar que:
Provas
Questão presente nas seguintes provas
Os testes de observância têm por objeto de análise:
Provas
Questão presente nas seguintes provas
Sempre que não possa ter expectativa razoável quanto à existência de outra evidência de auditoria pertinente, deve o auditor obter declarações por escrito da administração, sobre os assuntos signifi cativos para as Demonstrações Contábeis, por meio da(o) chamada(o):
Provas
Questão presente nas seguintes provas
As seguintes opções constituem exemplos de transações e eventos subsequentes, exceto:
Provas
Questão presente nas seguintes provas
A inspeção física, por meio da contagem de numerário, é procedimento básico de auditoria aplicável à verifi cação em conta do:
Provas
Questão presente nas seguintes provas
Sobre a auditoria independente, é correto afirmar que tem por objetivo:
Provas
Questão presente nas seguintes provas
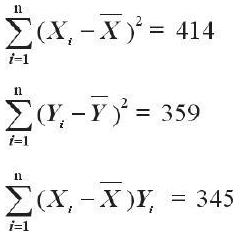
Uma amostra aleatória simples (X1 ,Y1), (X2 ,Y2), ..., (Xn,Yn) de duas variáveis aleatórias X e Y forneceu as seguintes quantidades:

Calcule o valor mais próximo do coefi ciente de determinação da regressão linear de Y em X.

Calcule o valor mais próximo do coefi ciente de determinação da regressão linear de Y em X.
Provas
Questão presente nas seguintes provas
Seja Z uma variável aleatória Normal Padrão. Dados os valores de z e de P(Z < z) a seguir, obtenha o valor mais próximo de P(-2,58 < Z < 1,96).


Provas
Questão presente nas seguintes provas
Cadernos
Caderno Container