Foram encontradas 70 questões.
A amostragem estratificada é uma técnica que pertence à família de amostras probabilísticas e consiste em dividir toda a
população ou o “objeto de estudo” em diferentes subgrupos
ou estratos diferentes, de maneira que um indivíduo pode
fazer parte apenas de um único estrato ou camada. Para criar
a amostra, podem ser utilizados diversos procedimentos de
alocação. A técnica de alocação responsável por considerar,
aproximadamente, o mesmo tamanho de amostra em cada
estrato denomina-se:
Provas
Questão presente nas seguintes provas
Uma companhia aérea investiga se o tempo X que os passageiros demoram para retirar sua bagagem e passar na alfândega
tem uma média μ menor que 25 minutos. Para isso, coletou
uma amostra de 64 viajantes e obteve as seguintes estatísticas:
, em que xi, com i = 1, 2, 3,...,64, são os valores observados da amostra. Considerando a utilização de um teste de hipótese baseado na distribuição normal para testar H0 : μ = 25 versus H1 : μ < 25, qual o valor da estatística de teste?
, em que xi, com i = 1, 2, 3,...,64, são os valores observados da amostra. Considerando a utilização de um teste de hipótese baseado na distribuição normal para testar H0 : μ = 25 versus H1 : μ < 25, qual o valor da estatística de teste?
Provas
Questão presente nas seguintes provas
Considere que o nível de colesterol total X em pessoas sadias
de determinada população possa ser descrito pela distribuição
normal com média 140 mg/dL. Sabe-se que 5% dessas pessoas
possuem um colesterol menor que 136,72 mg/dLe 90% possuem
colesterol inferior a C. Com base nessas informações, qual o valor
de C?
(Dados: Valores de probabilidades P (Z ≤ z), em que Z é uma variável
aleatória normal padrão.)

Provas
Questão presente nas seguintes provas
O teor de proteína de uma ração animal é uma variável aleatória descrita pela seguinte função densidade de probabilidade:

Qual o teor de proteína tal que 1% dos valores estão acima dele?
Qual o teor de proteína tal que 1% dos valores estão acima dele?
Provas
Questão presente nas seguintes provas
Com o objetivo de construir um índice de criminalidade, a técnica multivariada de análise de componentes principais foi
utilizada em um banco de dados com 16 variáveis. De acordo
com a abordagem que utiliza a matriz de covariância entre as
variáveis, os quatro maiores autovalores observados foram
iguais a 5; 3; 2; e, 1. O percentual de variação que é explicado
por esses autovalores é:
Provas
Questão presente nas seguintes provas
- FundamentosAnálise de Tabelas e GráficosGráfico de Colunas ou Barras Justapostas
- FundamentosAnálise de Tabelas e GráficosPolígono de Frequências e Ogiva
- Estatística Descritiva
A construção de gráficos no software R foi revolucionada com
a criação do pacote ggplot2, fruto de uma tese de doutorado.
A essência desse pacote é a construção de gráficos camada por
camada, deixando os gráficos naturalmente mais bonitos, permitindo uma fácil personalização. As funções do pacote ggplot2
responsáveis por gerar um histograma e um boxplot são, respectivamente:
Provas
Questão presente nas seguintes provas
De uma forma geral, os testes não paramétricos não fazem
nenhuma suposição sobre a distribuição da população ou tamanho da amostra. Dentro dessa classe de testes, há um responsável por ser a alternativa não paramétrica à ANOVA com
medidas repetidas. Esse teste é empregado para testar diferenças entre grupos quando a variável dependente é ordinal.
Entretanto, o teste também pode ser usado para dados contínuos que violaram as suposições necessárias para executar a
ANOVA. Dentre os testes listados a seguir, qual corresponde à
descrição feita anteriormente?
Provas
Questão presente nas seguintes provas
Com o propósito de verificar o resultado de uma nova dieta
alimentar, o peso de 9 indivíduos foi medido. Na sequência,
essas pessoas foram orientadas sobre a dieta e alteraram o
consumo de certos grupos alimentares durante o período de 3
semanas. Após esse tempo, o peso de cada indivíduo foi aferido novamente. Assumindo que as suposições estão satisfeitas, o teste T foi realizado, considerando amostras pareadas
com o objetivo de concluir, estatisticamente, se a dieta consegue reduzir o peso das pessoas. Para isso, considere que a
média das diferenças entre os pesos aferidos antes e depois da
dieta seja igual a – 0,72 kg e a variância 0,04. Com base nessas
informações, qual probabilidade respresentada a seguir corresponde ao p-valor associado à estatística do teste?
(Denote por Tn, uma variável aleatória com distribuição t-Student com n
graus de liberdade.)
Provas
Questão presente nas seguintes provas
Em determinada população, a distribuição das categorias
A, B e C é dada pela seguinte tabela:

Para verificar se os dados de uma amostra são gerados a partir dessa distribuição, foi conduzido um teste qui-quadrado de aderência. Considere que as suposições para a realização desse teste estão satisfeitas. Dessa forma, a estatística de teste, sob a hipótese nula, possui uma distribuição qui-quadrado com quantos graus de liberdade?
Para verificar se os dados de uma amostra são gerados a partir dessa distribuição, foi conduzido um teste qui-quadrado de aderência. Considere que as suposições para a realização desse teste estão satisfeitas. Dessa forma, a estatística de teste, sob a hipótese nula, possui uma distribuição qui-quadrado com quantos graus de liberdade?
Provas
Questão presente nas seguintes provas
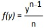
Considere que o teor de argila em um solo é modelado por
uma variável aleatória X, cuja distribuição é uniforme (0,1).
Suponha que, para interesses práticos, seja necessário estudar
o comportamento da variável Y = Xn
, em que n é um número
natural não nulo. A função densidade de probabilidade f (y) da
variável Y considerando 0 ≤ y ≤ 1 é dada por:
Provas
Questão presente nas seguintes provas
Cadernos
Caderno Container