Foram encontradas 1.568 questões.
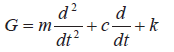
Obtenha a função de transferência de um oscilador linear com um grau de liberdade, mostrado na figura, que é composto de uma massa m, uma mola de rigidez k e um amortecedor viscoso de coeficiente, c.

Provas

Provas

Provas

Provas
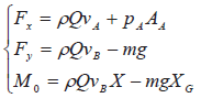
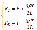
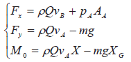
Avalie os esforços que o flange fixo A exerce sobre o joelho, decorrente do escoamento de água que possui uma velocidade vA com uma pressão pA em uma entrada com diâmetro dA. Na saída de diâmetro dB, o fluido possui uma velocidade vB e uma vazão QB.
A água possui uma massa específica p e a quantidade de água no joelho tem uma massa m, com centro de massa G (posicionado pelas coordenadas XG e YG em relação ao ponto

Provas

Provas

Provas

Provas

Provas

Provas
Caderno Container