Magna Concursos

Foram encontradas 50 questões.

168900 Ano: 2016
Disciplina: Administração Geral
Banca: AOCP
Orgão: SERCOMTEL
Provas:
A racionalização de processos em organizações deve obedecer a uma série de princípios, sob o risco de ocorrência de vários problemas, caso isso não ocorra. Duplicidade de dados, insegurança na base de dados e aumento do tempo de ciclo de um processo são disfunções resultantes do desrespeito a qual princípio de racionalização?
 

Provas

Questão presente nas seguintes provas
168899 Ano: 2016
Disciplina: Administração Geral
Banca: AOCP
Orgão: SERCOMTEL
Provas:
Referente à relação entre organizações e seus ambientes, o maior grau de incerteza é frequentemente descrito como influenciado por quais condições ambientais?
 

Provas

Questão presente nas seguintes provas
168898 Ano: 2016
Disciplina: Administração Geral
Banca: AOCP
Orgão: SERCOMTEL
Provas:
São características das capacidades que podem resultar em vantagem competitiva sustentável para uma organização:
 

Provas

Questão presente nas seguintes provas
De acordo com o que dispõe o Estatuto Disciplinar dos Empregados Públicos da Sercomtel acerca da Sindicância, assinale a alternativa correta.
 

Provas

Questão presente nas seguintes provas
De acordo com o que dispõe o Estatuto Disciplinar dos Empregados Públicos da Sercomtel acerca da Revisão do Processo, assinale a alternativa correta.
 

Provas

Questão presente nas seguintes provas
168881 Ano: 2016
Disciplina: Matemática
Banca: AOCP
Orgão: SERCOMTEL
Um pai deu aos seus três filhos tudo o que tinha na carteira. Para cada filho ele deu R$ 2,00 a mais do que a metade do que deu ao filho anterior. Qual é o valor que esse pai possuía na carteira?
 

Provas

Questão presente nas seguintes provas
168880 Ano: 2016
Disciplina: Matemática
Banca: AOCP
Orgão: SERCOMTEL
Quantas horas levará para encher um tanque de 1920 litros. Sabendo que a torneira que abastece esse tanque despeja 60 litros a cada 15 minutos?
 

Provas

Questão presente nas seguintes provas
168879 Ano: 2016
Disciplina: Matemática
Banca: AOCP
Orgão: SERCOMTEL

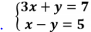
Se o par enunciado 168879-1 é a solução do sistema enunciado 168879-2, então qual é o valor de enunciado 168879-3 ?

 

Provas

Questão presente nas seguintes provas
168878 Ano: 2016
Disciplina: Raciocínio Lógico
Banca: AOCP
Orgão: SERCOMTEL
Daniela possui 5 xícaras em seu armário, cada uma com um peso e formato diferente da outra. A xícara branca é mais pesada que a preta. A xícara preta é mais pesada que a rosa. A xícara verde é mais leve que a xícara vermelha e mais pesada que a branca. Qual é a xícara mais leve?
 

Provas

Questão presente nas seguintes provas
168875 Ano: 2016
Disciplina: Matemática Financeira
Banca: AOCP
Orgão: SERCOMTEL
Senhor Silva fez um empréstimo de R$ 7.000,00, que será quitado em uma única parcela, 5 meses depois, a uma taxa de juros simples de 3% ao mês. Sendo assim, de quanto será o montante ao final do quinto mês?
 

Provas

Questão presente nas seguintes provas