Foram encontradas 70 questões.
Assinale a alternativa que corresponde a uma das finalidades da política fundiária e do uso do solo rural do Distrito Federal.
Provas
Questão presente nas seguintes provas
Segundo o Art. 7º da Lei Orgânica do Distrito Federal, são símbolos
do Distrito Federal, EXCETO:
Provas
Questão presente nas seguintes provas
Em relação à Lei Orgânica, assinale a alternativa correta sobre o Sistema de Transporte do Distrito Federal.
Provas
Questão presente nas seguintes provas
De acordo com o Art. 2º da Lei Orgânica, o Distrito Federal integra a
união indissolúvel da República Federativa do Brasil e tem alguns valores fundamentais. Assinale a alternativa que apresenta um desses
valores.
Provas
Questão presente nas seguintes provas
A Lei Orgânica do Distrito Federal, ao tratar da organização do Distrito
Federal, estabelece que:
Provas
Questão presente nas seguintes provas
Qual das alternativas a seguir contém dois números reais não racionais
e dois números racionais?
Provas
Questão presente nas seguintes provas
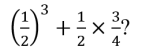
Qual das alternativas contém o dobro do triplo do valor da expressão
numérica


Provas
Questão presente nas seguintes provas
João faleceu e deixou descrito em seu testamento que uma parte de sua
herança iria para a sua filha e o triplo dessa mesma parte e mais 100
mil reais iriam para seu filho. Se a herança total a ser distribuída aos
dois irmãos era de 1,3 milhão, podemos afirmar que o rapaz recebeu:
Provas
Questão presente nas seguintes provas
João corre quatro quilômetros em 45 minutos, qual é a distância que
um outro corredor com 1/3 da velocidade do João percorrerá em vinte
e sete minutos?
Provas
Questão presente nas seguintes provas
Sheila deve realizar cinco tarefas diferentes para finalizar o seu serviço
de hoje. De quantas formas diferentes ela pode realizar essas tarefas?
Provas
Questão presente nas seguintes provas
Cadernos
Caderno Container