Foram encontradas 100 questões.
TABELA PERIÓDICA DOS ELEMENTOS
-

Muitos métodos de análise baseiam-se na interação da radiação com a matéria. Assinale com V (verdadeiro) ou F (falso) as afirmações abaixo.
-
(_) A absortividade molar independe do comprimento de onda escolhido.
(_) A concentração de um soluto pode afetar o valor da absortividade molar.
(_) Ao incidir em uma amostra radiação na faixa do infravermelho, os elétrons são excitados a um nível energético superior.
(_) A ressonância magnética nuclear é utilizada para estudar uma grande variedade de núcleos que possuem determinados estados de spin, como, por exemplo, 1H, 13C, 15N, 19F e 31P.
-
A sequência correta de preenchimento dos parênteses, de cima para baixo, é
Provas
- Química OrgânicaFunções Oxigenadas: Cetona, Aldeído, Éter, Éster, Ácido Carboxílico etc.
- Química OrgânicaIsomeria Plana e Espacial
TABELA PERIÓDICA DOS ELEMENTOS
-

Considere as informações abaixo sobre os isômeros álcool etílico e éter dimetílico.
-
I - Ambos apresentam pontos de ebulição próximos, pois têm a mesma massa molecular.
II - As duas moléculas apresentam interações intermoleculares do tipo ligações de hidrogênio.
III - O ponto de ebulição do álcool etílico é mais elevado do que o do éter etílico devido às interações intermoleculares do tipo ligações de hidrogênio.
-
Quais estão corretas?
Provas
TABELA PERIÓDICA DOS ELEMENTOS
-

De acordo com a situação, diversas técnicas podem ser empregadas para a purificação de proteínas. Uma delas baseia-se no fato de que as moléculas que se deseja separar sofrem partição devido a diferenças na massa molar das espécies, entre um solvente (fase móvel) e uma fase estável de porosidade definida.
-
A técnica cujo princípio foi descrito é a
Provas
TABELA PERIÓDICA DOS ELEMENTOS
-

A síntese do medicamento L-DOPA (conhecido para o tratamento do mal de Parkinson), pode ser realizada através de reação de hidrogenação, empregando-se o catalisador [Rh(COD)(R,R-DIPAMP)]BF4, usando como solvente isopropanol.
-
Qual das alternativas abaixo faz com que, na síntese do L-DOPA (L-hidroxifenilalanina), a hidrogenação seja assimétrica?
Provas
TABELA PERIÓDICA DOS ELEMENTOS
-

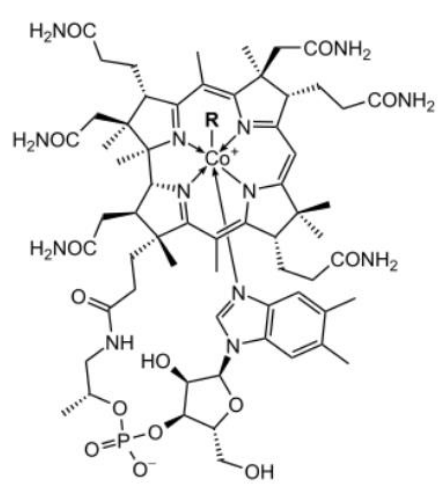
A vitamina B12 é um micronutriente essencial hidrossolúvel, sendo o cobalto o metal central da coenzima conhecida como cobalamina, necessária à ação dessa vitamina. A estrutura da cianocobalamina (R = -CN) está apresentada na figura abaixo.
-

-
Considere as seguintes afirmações sobre a cianocobalamina.
-
I - A geometria molecular do complexo é octaédrica distorcida.
II - O ideal para solubilizar a cobalamina são solventes orgânicos apolares, pois a macromolécula é apolar.
III - A valência (nox) do cobalto na estrutura representada é +3.
-
Quais estão corretas?
Provas
TABELA PERIÓDICA DOS ELEMENTOS
-

Considere as afirmações abaixo sobre as três moléculas seguintes: BF3, NH3 e PF3.
-
I - BF3 apresenta geometria trigonal planar.
II - As três moléculas apresentam a mesma geometria molecular.
III - NH3 e PF3 apresentam geometria molecular de pirâmide trigonal.
-
Quais estão corretas?
Provas
TABELA PERIÓDICA DOS ELEMENTOS
-

Assinale a alternativa em que todas as moléculas apresentam ligações de hidrogênio.
Provas
TABELA PERIÓDICA DOS ELEMENTOS
-

Qual das alternativas abaixo apresenta a ordem crescente de raio atômico dos elementos Na, K, S e Cl?
Provas
TABELA PERIÓDICA DOS ELEMENTOS
-

Em geral, uma reação catalisada por uma enzima (presente em quantidade catalítica) segue a cinética de Michaelis-Menten, de acordo com o seguinte mecanismo, onde S = substrato, E = enzima, ES = complexo ativado e P = produto.
-
!$ E !$ + !$ S !$ ⇌ !$ E !$!$ S !$ (1)
!$ E !$!$ S !$ ⟶ !$ P !$ + !$ E !$ (2)
-
Sendo k1 a constante da primeira reação direta, !$ k !$−1 a constante da primeira reação inversa, !$ k !$2 a constante da reação 2, !$ v !$ a velocidade global da reação e sabendo-se que !$ k !$1 ≈ !$ k !$−1 >>>>> !$ k !$2, no mecanismo de Michaelis-Menten, pode-se dizer que
Provas
TABELA PERIÓDICA DOS ELEMENTOS
-

Apesar de existirem muitos produtos e muitas tecnologias para procedimentos de redução de contaminações e prevenção de infecções, o hipoclorito de sódio continua sendo um dos mais utilizados na desinfecção de superfícies em ambientes hospitalares. Soluções de hipoclorito de sódio são eficientes como bactericida, virucida, fungicida, tuberculicida e esporicida, dependendo da concentração preparada. Sobre o pH de uma solução de NaOCl, a 25ºC, escolha a alternativa correta.
Provas
Caderno Container