Foram encontradas 80 questões.
A digestão de carboidratos é iniciada na região oral pela liberação de amilase salivar, por ocasião da mastigação do bolo alimentar. Após a mastigação, a digestão dos carboidratos continua no duodeno através da ação de amilase pancreática.
Nessa situação, a absorção de glicose e galactose pelo enterócito ocorre porProvas
- Biologia CelularBiofísica
- Biologia CelularCitologiaVisão geral da célulaEstrutura e fisiologia da Membrana Plasmática
O potencial elétrico do miocárdio ventricular é caracterizado por uma despolarização abrupta, seguida de repolarização (fases 1, 2, 3 e 4). Assinale a opção que apresenta o íon que equilibra o influxo de sódio citoplasmático na fase 2 (formação do platô).
Provas
Considerando que seja falsa a proposição: “Se os manifestantes interromperem a manifestação e repararem os danos cometidos, os ingressos voltarão a ser distribuídos.”, assinale a opção que apresenta uma proposição verdadeira.
Provas
Com relação a vírus, worms e pragas virtuais, assinale a opção correta.
Provas
A respeito de organização e gerenciamento de informações, arquivos, pastas e programas, assinale a opção correta.
Provas

O sentido e a correção gramatical do texto seriam preservados caso se substituísse
Provas

Em relação a aspectos linguísticos do texto, assinale a opção correta.
Provas

De acordo com o texto,
Provas
Com relação às doenças de origem bacteriana, assinale a opção em que é correlacionada a enfermidade ao agente infeccioso.
Provas
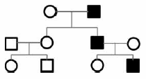
Assinale a opção que representa o heredograma com características de herança ligada ao sexo.
Provas
Caderno Container