Foram encontradas 80 questões.
Mulher de 30 anos, primigesta, teve um parto difícil de um bebê a termo. Houve perda de 1,5L de sangue e ela apresentou hipotensão por 6 horas. No mês seguinte, seu nível sérico de ACTH diminuiu e, nos 3 meses seguintes, suas glândulas suprarrenais diminuíram para cerca de 2 gramas cada (normal: 4 a 6 gramas). Essas alterações das glândulas suprarrenais se devem, principalmente, ao processo celular: .
Assinale a alternativa que preencha corretamente a lacuna.
Provas
Mulher de 75 anos apresentou dor abdominal no último mês. Exame físico: massa pulsátil no baixo ventre. TC abdominal: aorta abdominal dilatada, com 7 cm de diâmetro, com calcificação da parede aórtica. Enquanto aguardava a cirurgia, ela teve um episódio de dor abdominal intensa e uma nova TC demonstrou hemorragia retroperitoneal acentuada. Assinale a alternativa que apresenta qual dos seguintes achados de exames laboratoriais é mais provável que esta paciente apresente.
Provas
Homem de 45 anos, negro, apresenta hipertensão arterial há 7 anos. Queixa-se de fortes dores de cabeça. Nega outras doenças. Exame físico: PA=275/150 mm Hg. Exames laboratoriais: hemoglobina 13,8 g/dL, glicose sérica 76 mg/dL e creatinina 3,5 mg/dL. Assinale a alternativa que apresenta onde esses achados provavelmente estão associados em lesões patológicas renais.
Provas
Homem de 30 anos, saudável, relata que, toda primavera, apresenta episódios de congestão nasal acompanhados de espirros e olhos lacrimejantes, sem tosse. Exame físico: afebril, edema discreto das cavidades nasais. Os sintomas apresentados por este paciente são provavelmente produzidos pela liberação de mediadores químicos do seguinte tipo de célula:
Assinale a alternativa que preencha corretamente a lacuna.
Provas
Homem de 55 anos com doença renal em estágio terminal e diabetes mellitus recebeu um transplante renal cadavérico. Um mês depois, apresenta queda do estado geral, diminuição da diurese e aumento da ureia e creatinina séricas. O aloenxerto foi biopsiado, sendo observado microscopicamente processo de rejeição por células que estão reconhecendo células de enxerto que expressam antígenos HLA de classe I. Assinale a alternativa que apresenta qual das seguintes células é a que mais provavelmente está mediando essa resposta.
Provas
Mulher de 31 anos dá à luz um bebê a termo. O recém-nascido, do sexo masculino, apresentou anomalias congênitas nos membros, crânio e coração. Assinale a alternativa que apresenta qual dos seguintes tipos de alterações genéticas é mais provável neste caso.
Provas
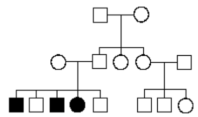
O heredograma apresentado a seguir é de uma família na qual crianças foram afetadas por múltiplos neurofibromas dérmicos associados a manchas “café-com-leite”. Assinale a alternativa que apresenta qual é o padrão de herança mais provável.

Provas
Homem de 62 anos apresenta dor ao urinar há 10 dias. Nega febre. Foi submetido à cistoscopia que revelou área levemente eritematosa, de 1 cm de diâmetro, na mucosa vesical. Esta área foi biopsiada e o exame microscópico revela células com hipercromatismo acentuado e relação núcleo/citoplasma aumentada, envolvendo toda a espessura do epitélio. Estas alterações estão confinadas ao epitélio acima da membrana basal. Assinale a alternativa que apresenta qual dos seguintes termos melhor descreve os achados desta biópsia.
Provas
Menino de 8 anos apresenta dificuldade para engolir no último mês. Antecedentes pessoais: síndrome alcoólica fetal e baixo rendimento escolar. Exame físico: presença de massa endurecida, palpável no pescoço direito. TC: massa sólida, de 7 cm, em tecidos moles, lateral ao esôfago à direita. Biópsia dessa massa demonstrou células fusiformes pleomórficas negativas para citoqueratina, negativas para CD45 e positivas para vimentina. Assinale a alternativa que apresenta qual das seguintes neoplasias é mais provável para este caso.
Provas
Um estudo epidemiológico foi realizado em pacientes com história de infecção prévia pelo vírus Epstein-Barr. Assinale a alternativa que apresenta qual das seguintes neoplasias é mais provável de ser encontrada nesses pacientes.
Provas
Caderno Container