Foram encontradas 1.784 questões.

Com referência às ideias e às estruturas linguísticas empregadas no texto acima, julgue os itens subsequentes.
No trecho “Em meados do século XX, esses exercícios caíram em desuso nas escolas” (l.23-25), a vírgula está empregada como marca de estilo e pode ser omitida sem que haja prejuízo para a correção gramatical do período.
Provas
Com base na legislação de trânsito, julgue os itens de 86 a 95.
Considere que uma motocicleta tenha sido retida em função de o seu condutor ter dirigido de forma ameaçadora aos pedestres que atravessavam a via pública. Nessa situação, o agente de trânsito deve promover o recolhimento tanto do documento de habilitação do condutor quanto do certificado de licenciamento anual da motocicleta.
Provas
Acerca dos métodos de Paasche e Laspeyres para a construção de números índices e da utilização de índices de preços no deflacionamento de valores monetários, julgue os itens subsecutivos.
Se D(1) é o valor monetário de uma dívida contraída no período 1 e ocorre uma inflação de 25% entre os períodos 1 e 2, então, o valor deflacionado (ou real) da dívida no período 2, medido em moeda do período 1, é D(2) = 1,25 × D(1).
Provas
Julgue os itens que se seguem, acerca de definições da teoria estatística.
Quanto menor for o p-valor associado a uma estatística de determinado teste, maior será a evidência para se rejeitar a hipótese nula desse teste.
Provas
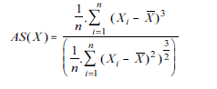
A respeito das medidas de assimetria e curtose, julgue os próximos itens.
A assimetria de uma distribuição correspondente a um conjunto de dados X com n elementos e média aritmetica
, pode ser corretamente calculada a partir da equação abaixo, tal que o numerador dessa expressão somente será zero se a distribuição for simétrica.

Provas
Considere o seguinte conjunto de dados composto por cinco elementos: {82,93; 94,54; 98,40; 115,41; 123,07}.
Com base nesses dados, julgue os itens subsequentes acerca das medidas de tendência central.
Se o valor de um dos elementos do conjunto não for fornecido, esse valor pode ser determinado se a média do conjunto for conhecida, mas não será possível obter esse valor conhecendose apenas a mediana.
Provas
Considere o seguinte conjunto de dados composto por cinco elementos: {82,93; 94,54; 98,40; 115,41; 123,07}.
Com base nesses dados, julgue os itens subsequentes acerca das medidas de tendência central.
Em uma distribuição de dados unimodal, se a média e a mediana forem iguais, não é possível determinar o valor da moda se todos os dados não estiverem disponíveis.
Provas
- Auditoria IndependenteExecução do Trabalho de AuditoriaTestes e Procedimentos de Auditoria 1Testes de Auditoria 1Testes Substantivos ou Testes de Comprovação 1
Julgue os itens subsecutivos, relativos à execução dos trabalhos de auditoria em geral.
Um tipo de teste substantivo de detalhes de saldos de caixa geralmente utilizado consiste na contagem de caixa em mãos. Nesse teste, para que uma contagem de caixa seja adequada, o auditor deve, entre outras providências, assegurar-se de que todos os cheques não depositados sejam nominativos ao cliente, diretamente ou por endosso.
Provas
Em um roteiro, fala em off é a fala de uma personagem que está fora da imagem, mas que participa da cena, de modo que o que ela diz pode ser ouvido por outras personagens presentes na cena.
Provas
A construção do texto radiofônico requer elementos como tempo, dinâmica, melodia, sons complementares, voz humana e linguagem do comunicador. Com referência a esse assunto, julgue os itens que se seguem.
No uso da voz, a articulação deve ser clara e apresentar intensidade de volume.
Provas
Caderno Container