Foram encontradas 812 questões.
Supondo que o custo unitário X de um processo de execução fiscal na justiça federal seja descrito por uma distribuição exponencial com média igual a R$ 5.000, julgue o próximo item.
A mediana da distribuição do custo unitário X é inferior a R$ 5.000.
Provas
- Distribuições de ProbabilidadeDistribuições ContínuasNormal
- Estatística InferencialEstatística Não Paramétrica
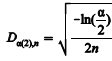
Diversos processos buscam reparação financeira por danos morais. A tabela seguinte mostra os valores, em reais, buscados em 10 processos — numerados de 1 a 10 — de reparação por danos morais, selecionados aleatoriamente em um tribunal.

A partir dessas informações e sabendo que os dados seguem uma distribuição normal, julgue o item subsequente.
Uma forma de verificar a normalidade dos dados seria pelo
teste de Kolmogorov-Smirnov, calculando-se o valor crítico,
para n pequeno (n < 10), pela aproximação
, em que α é o nível de significância do
teste.
Provas
- AmostragemDefinições de Amostragem
- Estatística DescritivaMedidas de Dispersão
- Estatística DescritivaMedidas de Tendência Central
A respeito do total amostral Tn = X1 + X2 + ... + Xn, em que X1, X2, ..., Xn é uma amostra aleatória simples retirada de uma distribuição gama com média µ e desvio padrão σ, julgue o próximo item.
O valor esperado do total amostral Tn é igual a µ.
Provas
A tabela a seguir foi usada para verificar se existe alguma relação entre a variável p = quantidade de páginas de um processo e a variável t = tempo necessário para a conclusão desse processo.

Considerando que Xj2 denota a distribuição qui-quadrado com j graus de liberdade e que P( X12> 3,84) = 0,05, P(X22> 5,99) = 0,05, P( X32 > 7,81) = 0,05, P(X12 > 2,71) = 0,10, P( X22 > 4,60) = 0,10, P(X32 > 6,25) = 0,10, julgue o item que se segue, tendo como referência as informações na tabela.
Se, a partir do teste de independência entre as referidas variáveis, o valor calculado da estatística qui-quadrado for superior a 60, então será correto concluir com 95% de confiança que existe associação entre essas variáveis.
Provas
Em um tribunal, entre os processos que aguardam julgamento, foi selecionada aleatoriamente uma amostra contendo 30 processos. Para cada processo da amostra que estivesse há mais de 5 anos aguardando julgamento, foi atribuído o valor 1; para cada um dos outros, foi atribuído o valor 0. Os dados da amostra são os seguintes:
1 1 0 0 1 0 1 1 0 1 1 1 1 0 1 1 1 0 1 0 1 0 1 0 1 1 1 0 1 1
A proporção populacional de processos que aguardam
julgamento há mais de 5 anos foi denotada por p; a proporção
amostral de processos que aguardam julgamento há mais de 5 anos
foi representada por
.
Com referência a essas informações, julgue o item a seguir, considerando que, para a distribuição normal padrão Z, P(Z > 1,28) = 0,10; P(Z > 1,645) = 0,05; e P(Z > 1,96) = 0,025.
O teste t de Student seria apropriado para testar se, nesse tribunal, p é maior que 50%, com 29 graus de liberdade.
Provas
Em um tribunal, entre os processos que aguardam julgamento, foi selecionada aleatoriamente uma amostra contendo 30 processos. Para cada processo da amostra que estivesse há mais de 5 anos aguardando julgamento, foi atribuído o valor 1; para cada um dos outros, foi atribuído o valor 0. Os dados da amostra são os seguintes:
1 1 0 0 1 0 1 1 0 1 1 1 1 0 1 1 1 0 1 0 1 0 1 0 1 1 1 0 1 1
A proporção populacional de processos que aguardam
julgamento há mais de 5 anos foi denotada por p; a proporção
amostral de processos que aguardam julgamento há mais de 5 anos
foi representada por
.
Com referência a essas informações, julgue o item a seguir, considerando que, para a distribuição normal padrão Z, P(Z > 1,28) = 0,10; P(Z > 1,645) = 0,05; e P(Z > 1,96) = 0,025.
A variância da proporção amostral
sob a hipótese nula
H0: p = 0,5 é menor que 0,1.
Provas
Um estudo acerca do tempo (x, em anos) de guarda de
autos findos em determinada seção judiciária considerou uma
amostragem aleatória estratificada. A população consiste de uma
listagem de autos findos, que foi segmentada em quatro estratos,
segundo a classe de cada processo (as classes foram estabelecidas
por resolução de autoridade judiciária). A tabela a seguir mostra os
tamanhos populacionais (N) e amostrais (n), a média amostral
e a variância amostral dos tempos (s2
) correspondentes a cada
estrato.

Considerando que o objetivo do estudo seja estimar o tempo médio populacional (em anos) de guarda dos autos findos, julgue o item a seguir.
No estudo em questão foi aplicada uma amostragem aleatória estratificada com alocação proporcional ao tamanho dos estratos.
Provas
Considerando que, nessa situação hipotética, Y1 e Y2 sejam variáveis aleatórias independentes, seguindo uma mesma distribuição Y, cuja função de probabilidade é P(Y = y) = 0,1 × 0,9y , para y = 0, 1, 2, ..., julgue o seguinte item.
Se H = min(Y1, Y2) é o menor entre Y1 e Y2, então, para h = 0, 1, 2, ..., P(H = h) = 0,19 × 0,81h .
Provas
Um estudo acerca do tempo (x, em anos) de guarda de
autos findos em determinada seção judiciária considerou uma
amostragem aleatória estratificada. A população consiste de uma
listagem de autos findos, que foi segmentada em quatro estratos,
segundo a classe de cada processo (as classes foram estabelecidas
por resolução de autoridade judiciária). A tabela a seguir mostra os
tamanhos populacionais (N) e amostrais (n), a média amostral
e a variância amostral dos tempos (s2
) correspondentes a cada
estrato.

Considerando que o objetivo do estudo seja estimar o tempo médio populacional (em anos) de guarda dos autos findos, julgue o item a seguir.
A fração amostral utilizada no estudo em tela foi igual ou superior a 10%.
Provas
- Distribuições de ProbabilidadeDistribuições DiscretasBinomial Negativa (Pascal)
- Distribuições de ProbabilidadeDistribuições DiscretasGeométrica
- Probabilidades
Considerando que, nessa situação hipotética, Y1 e Y2 sejam variáveis aleatórias independentes, seguindo uma mesma distribuição Y, cuja função de probabilidade é P(Y = y) = 0,1 × 0,9y , para y = 0, 1, 2, ..., julgue o seguinte item.
Se E[T] = quantidade média de clientes atendidos em cada minuto por esses dois empregados, então E[T] < 17.
Provas
Caderno Container