Magna Concursos

Foram encontradas 120 questões.

1856971 Ano: 2014
Disciplina: Engenharia Química
Banca: CESPE / CEBRASPE
Orgão: SUFRAMA
Provas:
No que se refere ao tratamento de águas fluviais e ao seu uso em instalações industriais, julgue os itens subsequentes.
A turbidez da água de um rio é provocada pela presença de corantes naturais, como os taninos, e de partículas em suspensão, havendo uma relação direta entre a dimensão das partículas em suspensão e o grau de turbulência do curso hídrico.
 

Provas

Questão presente nas seguintes provas
1856970 Ano: 2014
Disciplina: Engenharia Química
Banca: CESPE / CEBRASPE
Orgão: SUFRAMA
Provas:

Enunciado 1856970-1

Com relação ao processo de fermentação do açúcar proveniente da cana-de-açúcar para a produção do bioetanol, julgue os itens a seguir.

A velocidade de bombeamento do melaço diluído para o reator em que ocorre a fermentação pode ser medida por um medidor de fluxo tipo rotâmetro, equipamento que indica a velocidade pela posição de equilíbrio de um flutuador, a qual depende de três forças contrárias: força gravitacional (para baixo), empuxo exercido pelo fluido na sua base (para cima) e força de arraste, causada devido ao atrito em torno ao flutuador (para cima).
 

Provas

Questão presente nas seguintes provas
1856969 Ano: 2014
Disciplina: Engenharia Química
Banca: CESPE / CEBRASPE
Orgão: SUFRAMA
Provas:

Enunciado 1856969-1

Com relação ao processo de fermentação do açúcar proveniente da cana-de-açúcar para a produção do bioetanol, julgue os itens a seguir.

Os microrganismos envolvidos no processo de fermentação são extremamente sensíveis à temperatura, sendo imprescindível constar nos fermentadores os equipamentos de controle de temperatura conhecidos como termopares.
 

Provas

Questão presente nas seguintes provas
1856968 Ano: 2014
Disciplina: Engenharia Química
Banca: CESPE / CEBRASPE
Orgão: SUFRAMA
Provas:

Enunciado 1856968-1

Com relação ao processo de fermentação do açúcar proveniente da cana-de-açúcar para a produção do bioetanol, julgue os itens a seguir.

O CO2 produzido como subproduto da fermentação de açúcares a álcool pode ser coletado e utilizado como matéria-prima em diversos processos industriais, tal como na fabricação de bebidas carbonatadas e de extintores de incêndio.
 

Provas

Questão presente nas seguintes provas
1856967 Ano: 2014
Disciplina: Engenharia Química
Banca: CESPE / CEBRASPE
Orgão: SUFRAMA
Provas:

Enunciado 1856967-1

Com relação ao processo de fermentação do açúcar proveniente da cana-de-açúcar para a produção do bioetanol, julgue os itens a seguir.

A principal vantagem da utilização de polietileno fabricado a partir do eteno obtido do álcool de cana-de-açúcar em substituição ao polietileno oriundo de petróleo é a biodegradabilidade dessa substância, produzida a partir de biomassa.
 

Provas

Questão presente nas seguintes provas
1856966 Ano: 2014
Disciplina: Engenharia Química
Banca: CESPE / CEBRASPE
Orgão: SUFRAMA
Provas:

Enunciado 1856966-1

Com relação ao processo de fermentação do açúcar proveniente da cana-de-açúcar para a produção do bioetanol, julgue os itens a seguir.

Para produzir eteno a partir do etanol, é necessário realizar a desidratação do álcool, o que pode ser feito por meio de destilação fracionada em múltiplo-estágio.
 

Provas

Questão presente nas seguintes provas
1856965 Ano: 2014
Disciplina: Engenharia Química
Banca: CESPE / CEBRASPE
Orgão: SUFRAMA
Provas:

Enunciado 1856965-1

Com relação ao processo de fermentação do açúcar proveniente da cana-de-açúcar para a produção do bioetanol, julgue os itens a seguir.

Não é possível determinar a vazão mássica do melaço diluído para o reator de fermentação.
 

Provas

Questão presente nas seguintes provas
1856964 Ano: 2014
Disciplina: Engenharia Química
Banca: CESPE / CEBRASPE
Orgão: SUFRAMA
Provas:

Enunciado 1856964-1

Considerando esse assunto e a figura acima, que representa esquematicamente um medidor de vazão, julgue os itens subsequentes.

O manômetro de tubo em U é o tipo de medidor de vazão mais simples, sendo composto por um duto em U preenchido por um fluído incompressível diferente do fluído escoante.
 

Provas

Questão presente nas seguintes provas
1856963 Ano: 2014
Disciplina: Engenharia Química
Banca: CESPE / CEBRASPE
Orgão: SUFRAMA
Provas:

Enunciado 1856963-1

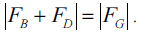
Considerando esse assunto e a figura acima, que representa esquematicamente um medidor de vazão, julgue os itens subsequentes.

O medidor de vazão apresentado na figura é do tipo Venturi com flutuador em regime permanente. Na posição de trabalho, as forças que atuam sobre o flutuador obedecem a seguinte relação: Enunciado 1856963-2
 

Provas

Questão presente nas seguintes provas
1856962 Ano: 2014
Disciplina: Engenharia Química
Banca: CESPE / CEBRASPE
Orgão: SUFRAMA
Provas:

Enunciado 1856962-1

Considerando esse assunto e as informações apresentadas, julgue os itens subsequentes.

A bomba cujas características estão ilustradas na figura apresentada atinge eficiência máxima quando sua capacidade é de 25 gal/min e a carga total é igual a 70 pés.
 

Provas

Questão presente nas seguintes provas