Foram encontradas 190 questões.
Para analisar documentos relativos à gestão orçamentária de um município, 3 técnicos, trabalhando durante 6 horas, examinaram 50% dos documentos. Considerando que o tempo gasto para analisar cada documento é sempre o mesmo, julgue os itens a seguir.
Quatro técnicos examinariam o restante dos documentos em 4 horas.
Provas
Com base nessas informações, julgue o item que se segue a respeito das hidrelétricas mencionadas.
Os recordes de produção de energia dessas hidrelétricas ocorreram em momentos diferentes. No entanto, pode-se afirmar que, nesses momentos, a quantidade de energia produzida por Itaipu que superou a quantidade de energia produzida por Três Gargantas corresponde a mais de 95% da energia produzida no recorde de Três Gargantas.
Provas
Com relação a essa situação hipotética, julgue o item a seguir.
A mediana da quantidade diária de papel consumido corresponde a um valor inferior a 323 folhas/dia.
Provas
Com relação a essa situação hipotética, julgue o item a seguir.
A variância da distribuição do consumo diário de papel corresponde a um valor inferior a 10.000.
Provas
Com relação a essa situação hipotética, julgue o item a seguir.
O coeficiente de variação é inferior a 1.
Provas

No retângulo da figura acima, formado por segmentos tracejados e contínuos, AB, AD e EF medem 15 cm, 20 cm e 12 cm, respectivamente. Com relação a essa figura, julgue os seguintes itens.
Independentemente da posição horizontal do segmento EF, a área da região ABFCDE é igual a 270 cm2 .
Provas

No retângulo da figura acima, formado por segmentos tracejados e contínuos, AB, AD e EF medem 15 cm, 20 cm e 12 cm, respectivamente. Com relação a essa figura, julgue o seguinte item.
Para cada par de valores distintos de x e de y tem-se um valor diferente para a área do trapézio ABFE.
Provas

No retângulo da figura acima, formado por segmentos tracejados e contínuos, AB, AD e EF medem 15 cm, 20 cm e 12 cm, respectivamente. Com relação a essa figura, julgue o seguinte item.
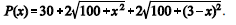
Se a = b, então o perímetro da região ABFCDE pode ser corretamente expresso por uma função de x da forma:

Provas

No retângulo da figura acima, formado por segmentos tracejados e contínuos, AB, AD e EF medem 15 cm, 20 cm e 12 cm, respectivamente. Com relação a essa figura, julgue o seguinte item.
Se y = 0, então o perímetro da figura limitada pelos segmentos contínuos pode ser corretamente expresso em termos da variável a pela seguinte função:

Provas

Uma instituição possui uma ouvidoria, para receber críticas e sugestões. A figura acima apresenta a distribuição das pessoas segundo o sexo (masculino/feminino) que enviam críticas e(ou) sugestões para essa ouvidoria.
Sabe-se que 60% das pessoas que enviam críticas e(ou) sugestões para essa ouvidoria têm mais de 30 anos de idade e que metade das pessoas do sexo feminino tem mais de 30 anos de idade.
Considerando essa situação e a hipótese de que novas pessoas enviem críticas e(ou) sugestões para a ouvidoria, julgue os item a seguir acerca das probabilidades relativas a essas novas pessoas.
Considere a situação em que 5 novas pessoas enviem críticas e(ou) sugestões para a ouvidoria. Nessa situação, a probabilidade de 3 dessas pessoas serem do sexo feminino e 2 do sexo masculino é superior ou igual a 0,20.
Provas
Caderno Container