Foram encontradas 379 questões.
210493
Ano: 2013
Disciplina: TI - Desenvolvimento de Sistemas
Banca: CESPE / CEBRASPE
Orgão: TCE-ES
Disciplina: TI - Desenvolvimento de Sistemas
Banca: CESPE / CEBRASPE
Orgão: TCE-ES
Provas:
Assinale a opção correta acerca do NET Framework.
Provas
Questão presente nas seguintes provas
210492
Ano: 2013
Disciplina: TI - Desenvolvimento de Sistemas
Banca: CESPE / CEBRASPE
Orgão: TCE-ES
Disciplina: TI - Desenvolvimento de Sistemas
Banca: CESPE / CEBRASPE
Orgão: TCE-ES
Provas:
- Gestão de Documentos e ConteúdoPortais Corporativos
- Gestão de Documentos e ConteúdoPortlets e Especificações
Quando um portlet é colocado em uma página de portal, os dados armazenados na PortalSession .
Provas
Questão presente nas seguintes provas
210491
Ano: 2013
Disciplina: TI - Desenvolvimento de Sistemas
Banca: CESPE / CEBRASPE
Orgão: TCE-ES
Disciplina: TI - Desenvolvimento de Sistemas
Banca: CESPE / CEBRASPE
Orgão: TCE-ES
Provas:
A arquitetura de interoperabilidade do governo federal, e-Ping, estabelece que:
Provas
Questão presente nas seguintes provas
210490
Ano: 2013
Disciplina: TI - Desenvolvimento de Sistemas
Banca: CESPE / CEBRASPE
Orgão: TCE-ES
Disciplina: TI - Desenvolvimento de Sistemas
Banca: CESPE / CEBRASPE
Orgão: TCE-ES
Provas:

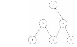
Considerando o grafo ilustrado acima, assinale a opção em que é apresentada a descrição em vértices (V) e arestas (A).
Provas
Questão presente nas seguintes provas
210489
Ano: 2013
Disciplina: TI - Desenvolvimento de Sistemas
Banca: CESPE / CEBRASPE
Orgão: TCE-ES
Disciplina: TI - Desenvolvimento de Sistemas
Banca: CESPE / CEBRASPE
Orgão: TCE-ES
Provas:
- Fundamentos de ProgramaçãoAlgoritmosAlgoritmos de OrdenaçãoSelection Sort
- Fundamentos de ProgramaçãoEstruturas de DadosEstrutura de Dados: Vetor
- Fundamentos de ProgramaçãoLógica de Programação
O processo de ordenação de vetores que busca o menor elemento do vetor e o insere na primeira posição do vetor e que, posteriormente, busca o segundo menor valor do vetor e o coloca na segunda posição do vetor, e assim sucessivamente até que todo o vetor esteja ordenado, denomina-se
Provas
Questão presente nas seguintes provas
210488
Ano: 2013
Disciplina: TI - Desenvolvimento de Sistemas
Banca: CESPE / CEBRASPE
Orgão: TCE-ES
Disciplina: TI - Desenvolvimento de Sistemas
Banca: CESPE / CEBRASPE
Orgão: TCE-ES
Provas:
- Fundamentos de ProgramaçãoEstruturas de DadosEstrutura de Dados: Fila
- Fundamentos de ProgramaçãoEstruturas de DadosEstrutura de Dados: Pilha
- Fundamentos de ProgramaçãoTipos Abstratos de Dados (TAD)
- Fundamentos de ProgramaçãoTipos de Dados
Assinale a opção em que são apresentados tipos abstratos de dados.
Provas
Questão presente nas seguintes provas
210487
Ano: 2013
Disciplina: TI - Desenvolvimento de Sistemas
Banca: CESPE / CEBRASPE
Orgão: TCE-ES
Disciplina: TI - Desenvolvimento de Sistemas
Banca: CESPE / CEBRASPE
Orgão: TCE-ES
Provas:
Na construção de um RSS, o elemento que determina o tempo para que o canal seja recarregado de sua fonte é;
Provas
Questão presente nas seguintes provas
210486
Ano: 2013
Disciplina: TI - Desenvolvimento de Sistemas
Banca: CESPE / CEBRASPE
Orgão: TCE-ES
Disciplina: TI - Desenvolvimento de Sistemas
Banca: CESPE / CEBRASPE
Orgão: TCE-ES
Provas:
Quando executada no servidor, a aplicação, disponível para Windows e Linux, que gera documentos HTML, coleta dados de formulários, gera páginas com conteúdo dinâmico ou envia e recebe cookies é denominada.
Provas
Questão presente nas seguintes provas
210485
Ano: 2013
Disciplina: TI - Desenvolvimento de Sistemas
Banca: CESPE / CEBRASPE
Orgão: TCE-ES
Disciplina: TI - Desenvolvimento de Sistemas
Banca: CESPE / CEBRASPE
Orgão: TCE-ES
Provas:
Assinale a opção em que é apresentada uma recomendação de acessibilidade expressa no modelo e-Mag.
Provas
Questão presente nas seguintes provas
210484
Ano: 2013
Disciplina: TI - Desenvolvimento de Sistemas
Banca: CESPE / CEBRASPE
Orgão: TCE-ES
Disciplina: TI - Desenvolvimento de Sistemas
Banca: CESPE / CEBRASPE
Orgão: TCE-ES
Provas:
- Paradigmas de ProgramaçãoOrientação a ObjetosDefinição Técnica: Orientação a Objetos
- Paradigmas de ProgramaçãoOrientação a ObjetosOrientação a Objetos: Herança
- Paradigmas de ProgramaçãoOrientação a ObjetosOrientação a Objetos: Métodos
- Paradigmas de ProgramaçãoOrientação a ObjetosOrientação a Objetos: Polimorfismo
Em relação aos conceitos de orientação a objetos, assinale a opção correta.
Provas
Questão presente nas seguintes provas
Cadernos
Caderno Container