Magna Concursos

Foram encontradas 1.086 questões.

4059552 Ano: 2026
Disciplina: Engenharia de Telecomunicações
Banca: CESPE / CEBRASPE
Orgão: TELEBRAS
        Enunciado 4528230-1
        No circuito ilustrado anteriormente, VCC = 15 V, β = 200, RC = 5 kΩ, RE = 500 Ω, Re = 3,8 kΩ, RB1 = 10 kΩ e RB2 = 5 kΩ. Para análise em CA na faixa de operação, consideram-se os capacitores em curto-circuito; para análise do ponto de operação em CC, consideram-se os capacitores em circuito aberto.

A partir das informações e da ilustração apresentadas, considerando que a tensão entre a base e o emissor seja VBE = 0,7 V, julgue o item a seguir.

Na faixa de passagem, a impedância de saída do amplificador é aproximadamente igual à do resistor de coletor (RC), característica que torna a configuração emissor comum a escolha ideal para estágios de saída que acionam alto-falantes.

 

Provas

Questão presente nas seguintes provas
4059551 Ano: 2026
Disciplina: Engenharia de Telecomunicações
Banca: CESPE / CEBRASPE
Orgão: TELEBRAS
Enunciado 4528229-1

A partir da ilustração precedente, que representa o circuito elétrico de uma fonte de alimentação cuja entrada é de 110 VRMS, julgue o item a seguir.

A tensão média no resistor de carga é maior que 10,5 V, e o valor da tensão de ripple, considerado pico a pico, é maior que 0,2 V.

 

Provas

Questão presente nas seguintes provas
4059550 Ano: 2026
Disciplina: Engenharia de Telecomunicações
Banca: CESPE / CEBRASPE
Orgão: TELEBRAS
Enunciado 4528228-1

A partir da ilustração precedente, que representa o circuito elétrico de uma fonte de alimentação cuja entrada é de 110 VRMS, julgue o item a seguir.

Se o diodo inferior direito da ponte retificadora apresentar defeito e o circuito passar a se comportar como circuito aberto, a ponte continuará funcionando como retificador de onda completa e, por isso, a tensão de pico na carga não se alterará enquanto a tensão de ripple diminuir.

 

Provas

Questão presente nas seguintes provas
4059549 Ano: 2026
Disciplina: Engenharia de Telecomunicações
Banca: CESPE / CEBRASPE
Orgão: TELEBRAS
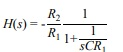
Enunciado 4528227-1

Com relação ao circuito precedente, em que ve(t) vs(t) correspondem à entrada e à saída do circuito, respectivamente, julgue o item a seguir.

A função de transferência do circuito em questão é dada pela expressão a seguir.

Enunciado 4528227-2

 

Provas

Questão presente nas seguintes provas
4059548 Ano: 2026
Disciplina: Engenharia de Telecomunicações
Banca: CESPE / CEBRASPE
Orgão: TELEBRAS
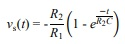
Enunciado 4528226-1

Com relação ao circuito precedente, em que ve(t) e vs(t) correspondem à entrada e à saída do circuito, respectivamente, julgue o item a seguir.

No domínio do tempo, a resposta ao degrau unitário do circuito apresentado é dada pela seguinte expressão.

Enunciado 4528226-2

 

Provas

Questão presente nas seguintes provas
4059547 Ano: 2026
Disciplina: Engenharia de Telecomunicações
Banca: CESPE / CEBRASPE
Orgão: TELEBRAS
Enunciado 4528225-1

Considerando o circuito precedente, que contém uma fonte de corrente controlada pela tensão vπ, medida entre o nó de entrada e o terra, e cuja entrada e cuja saída são denotadas por ve e vs , respectivamente, julgue o item subsequente.

Enunciado 4528225-2

 

Provas

Questão presente nas seguintes provas
4059546 Ano: 2026
Disciplina: Engenharia de Telecomunicações
Banca: CESPE / CEBRASPE
Orgão: TELEBRAS
Enunciado 4528224-1

Considerando o circuito precedente, que contém uma fonte de corrente controlada pela tensão vπ, medida entre o nó de entrada e o terra, e cuja entrada e cuja saída são denotadas por ve e vs , respectivamente, julgue o item subsequente.

Se ro ≥ 100 RC, então o ganho de tensão pode ser aproximado por vo / ve = −gmRC, com erro relativo inferior a 1%.

 

Provas

Questão presente nas seguintes provas
4059545 Ano: 2026
Disciplina: Engenharia de Telecomunicações
Banca: CESPE / CEBRASPE
Orgão: TELEBRAS
Enunciado 4528223-1

A partir do circuito precedente, em que R = RL = 1 kΩ, VE = 4 V e I1 = 1 mA, julgue o item que se segue.

O equivalente de Thévenin do circuito à esquerda dos pontos C e D, na ilustração apresentada, é composto por uma fonte de tensão de 3 V em série com uma resistência de 2 kΩ.

 

Provas

Questão presente nas seguintes provas
4059544 Ano: 2026
Disciplina: Engenharia de Telecomunicações
Banca: CESPE / CEBRASPE
Orgão: TELEBRAS
Enunciado 4528222-1

A partir do circuito precedente, em que R = RL = 1 kΩ, VE = 4 V e I1 = 1 mA, julgue o item que se segue.

No nó A, Enunciado 4528222-2

 

Provas

Questão presente nas seguintes provas
4059543 Ano: 2026
Disciplina: Engenharia de Telecomunicações
Banca: CESPE / CEBRASPE
Orgão: TELEBRAS
Enunciado 4528221-1

A partir do circuito precedente, em que R = RL = 1 kΩ, VE = 4 V e I1 = 1 mA, julgue o item que se segue.

VS = 1 V.

 

Provas

Questão presente nas seguintes provas