Foram encontradas 50 questões.
Considerando-se que o rumo magnético medido de um determinado local tenha sido de 27º 55’ NE e que o rumo verdadeiro seja de 38º 00’ NE, a declinação magnética corresponderá a
Provas
LOCALIDADE | LATITUDE SUL | LONGITUDE OESTE | PROPRIEDADE RURAL (ha) | IDADE MÉDIA (anos) | RENDA FAMILIAR MÉDIA (R$) |
1 | 15,80 | 47,98 | 500 | 35 | 1.010 |
2 | 15,64 | 47,78 | 893 | 24 | 500 |
3 | 15,42 | 47,64 | 620 | 58 | 1.230 |
4 | 15,77 | 47,76 | 155 | 68 | 850 |
5 | 15,94 | 48,25 | 200 | 25 | 400 |
6 | 15,87 | 47,92 | 541 | 41 | 680 |
7 | 15,83 | 48,01 | 687 | 36 | 750 |
8 | 15,81 | 48,13 | 222 | 44 | 2.500 |
9 | 15,89 | 47,97 | 151 | 26 | 3.200 |
10 | 16,33 | 48,15 | 368 | 60 | 7.000 |
Na tabela acima, são mostrados dados hipotéticos relativos a tamanho de propriedade rural, idade média dos habitantes locais e renda familiar média de dez localidades diferentes cujas coordenadas geográficas foram registradas por meio de um receptor GPS de navegação. Esses dados foram armazenados em um programa de sistema de informações geográficas e um técnico foi designado para efetuar, nessa tabela de atributos, a seguinte busca:
a) renda familiar média inferior a R$ 3.000,00;
b) idade média superior a 40 anos;
c) propriedades rurais acima de 200 hectares;
d) localidades situadas a longitudes superiores a 47º; e
e) localidades situadas a latitudes inferiores a 15º 30´.
Com base nesse caso hipotético, a busca resultará na seleção da localidade
Provas

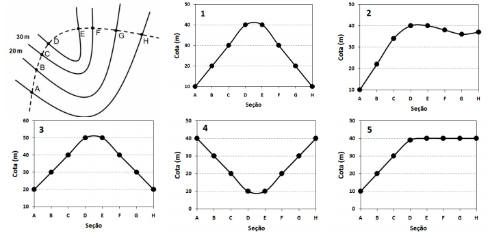
Na figura, são mostradas curvas de nível de um terreno hipotético com equidistância de 10 m. O perfil correspondente à seção A-B-C-D-E-F-G-H indicada nessa figura é o
Provas


Os gráficos A e B representam o perfil topográfico de um terreno hipotético sem e com exagero vertical, respectivamente. Esse exagero é de
Provas
Assinale a alternativa que apresenta as duas principais funções do motoscraper.
Provas
Atualmente existem em funcionamento quatro sistemas de navegação ou posicionamento por satélite: o americano; o europeu; o russo; e o chinês. O sistema americano denomina-se
Provas

Na figura acima, a leitura da mira corresponde a
Provas
O DF possui uma área de aproximadamente 580.000 hectares. Em quilômetros quadrados, essa área corresponde a
Provas

Na figura acima, os pontos P e Q representam precipitações acumuladas de 100 mm e 400 mm, respectivamente. De acordo com a figura, caso a precipitação no ponto A seja estimada pelo método do inverso do quadrado da distância, ela será de
Provas


As figuras acima ilustram as declividades D1 e D2 de dois terrenos hipotéticos. Os valores de D1, em porcentagem, e de D2, em graus, correspondem, respectivamente, a
Provas
Caderno Container