Foram encontradas 279 questões.
Para responder às questões de 36 a 65, leia com atenção o texto a seguir:
Considere que o mouse está com a configuração padrão, ou seja, está configurado para destros. Sendo assim, o botão esquerdo seleciona e abre ou executa uma função, e o botão direito abre um menu. Considere também que os softwares estão com as suas configurações no padrão de instalação, ou seja, não foi feita nenhuma alteração nas configurações pelo usuário, e que as versões utilizadas são em português. Caso a versão não seja em português, será comunicado no corpo da questão.
No Outlook 2000, com a janela de criação de uma nova mensagem aberta, para enviar a mensagem, usa-se a combinação de teclas:
Provas
Para responder às questões de 36 a 65, leia com atenção o texto a seguir:
Considere que o mouse está com a configuração padrão, ou seja, está configurado para destros. Sendo assim, o botão esquerdo seleciona e abre ou executa uma função, e o botão direito abre um menu. Considere também que os softwares estão com as suas configurações no padrão de instalação, ou seja, não foi feita nenhuma alteração nas configurações pelo usuário, e que as versões utilizadas são em português. Caso a versão não seja em português, será comunicado no corpo da questão.
Sobre a marcação de compromissos no Outlook 2000, é correto afirmar:
Provas
Para responder às questões de 36 a 65, leia com atenção o texto a seguir:
Considere que o mouse está com a configuração padrão, ou seja, está configurado para destros. Sendo assim, o botão esquerdo seleciona e abre ou executa uma função, e o botão direito abre um menu. Considere também que os softwares estão com as suas configurações no padrão de instalação, ou seja, não foi feita nenhuma alteração nas configurações pelo usuário, e que as versões utilizadas são em português. Caso a versão não seja em português, será comunicado no corpo da questão.
No Outlook 2000, é possível exportar os dados da pasta Contatos para arquivos do tipo
Provas
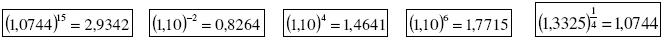
Para responder às questões de 31 a 35, considere as igualdades

BC reduz ritmo de corte de juros com turbulência no mercado
"[...] O efeito dessa redução para o consumidor será pequeno, já que a diferença entre a taxa Selic e a taxa cobrada das pessoas físicas é muito grande. Segundo cálculos da Anefac (Associação Nacional dos Executivos de Finanças), a taxa média das operações de crédito ao consumidor passará de 7,48% ao mês para 7,44% ao mês, ou de 137,65% ao ano para 136,59% ao ano. No entanto, Miguel José Ribeiro de Oliveira, economista da Anefac, acredita em uma queda maior em alguns bancos." (RIBEIRO. In: FOLHA DE SÃO PAULO, 17 jun. 2006).
Com base no texto e considerando-se a taxa de juros reduzida, identifique as afirmativas verdadeiras e as falsas.
( ) 99,75% ao ano, capitalizados quadrimestralmente, são equivalentes à taxa mensal.
( ) A taxa real de juros para uma inflação anual 4,5% é igual 132,09% ao ano.
( ) A taxa mensal de desconto comercial simples, para se obter um taxa efetiva de juros igual à considerada para análise, sem aproximação e com duas casas decimais, é 6,92%.
( ) A aplicação de R$ 1 000,00, em 15 meses, produz, desprezando-se os centavos, rendimento composto de R$ 2 934,00.
A alternativa que contém a seqüência correta, de cima para baixo, é a
Provas
Para responder às questões de 31 a 35, considere as igualdades

Um empréstimo de R$ 100 000,00 foi obtido para ser quitado, no final de quatro meses, acrescido de juros compostos de 21% ao bimestre. Após dois meses de realizado o empréstimo, o devedor propõe-se pagar, de imediato, R$ 50 000,00.
Nessas condições, pode-se afirmar que o valor do pagamento que liquida a dívida, em reais, desprezando-se os centavos, é igual a
Provas
Para responder às questões de 31 a 35, considere as igualdades

Das pessoas que, numa fila, aguardavam atendimento médico, 42 estavam em pé. Cada banco disponível no local comportava, com folga, 2 pessoas. Cansadas de esperar, passaram a sentar-se 3 em cada banco, restando ainda duas pessoas em pé.
O número de componentes da fila é
Provas
Para responder às questões de 31 a 35, considere as igualdades

Um imóvel é financiado em 100 prestações mensais, com uma diferença comum de R$ 20,00 entre parcelas sucessivas crescentes, sendo a primeira de R$ 100,00.
Nessas condições, pode-se afirmar que, ao efetuar o pagamento da 30ª prestação, o mutuário terá cumprido um percentual da soma total das parcelas igual a
Provas
Disciplina: Estatuto do Idoso - Lei 10.741/2003
Banca: FUNCEFET-BA
Orgão: TJ-BA
Com base na Lei 10.741/03, identifique com V as afirmativas verdadeiras e com F, as falsas:
( ) O Poder Público poderá criar varas especializadas e exclusivas do idoso.
( ) Constitui crime punível com reclusão dificultar o atendimento, sem justa causa, ao idoso.
( ) Os casos de maus-tratos contra idosos serão obrigatoriamente comunicados pelo profissional de Saúde a qualquer um dos seguintes órgãos: autoridade policial, Ministério Público, Conselho Municipal do Idoso, Conselho Estadual do Idoso, Conselho Nacional do Idoso, podendo e devendo, inclusive, ser comunicados à maioria deles.
A alternativa que contém a seqüência correta, de cima para baixo, é a
Provas
Disciplina: Legislação Estadual e Distrital
Banca: FUNCEFET-BA
Orgão: TJ-BA
Com referência à Lei 7.033/97, é verdadeiro o que se afirma em
Provas
Disciplina: Legislação Estadual e Distrital
Banca: FUNCEFET-BA
Orgão: TJ-BA
Com base na Lei 7.033/97, pode-se afirmar:
I. As contravenções penais serão sempre da competência do Juizado Especial Criminal, mesmo que a infração seja submetida a procedimento especial.
II. Das sentenças proferidas pelos Juizados Especiais Cíveis e Criminais caberá recurso para as Turmas Recursais.
III. As Turmas Recursais serão compostas por Juízes de 1o grau, em número de 03 (três), designados pelo Tribunal de Justiça, segundo o critério de antiguidade, e presididas pelo mais antigo na ordem.
A alternativa que contém a informação correta é
Provas
Caderno Container