Foram encontradas 30 questões.
Assinale a alternativa que não apresenta
uma das funções de um correio eletrônico.
Provas
Questão presente nas seguintes provas
No Excel 2016, não se pode formatar as
células de acordo com o(a)
Provas
Questão presente nas seguintes provas
Assinale a alternativa que apresenta o
atalho utilizado para selecionar o
“Gerenciador de Nomes”, presente na aba
“Fórmulas” do Excel 2016.
Provas
Questão presente nas seguintes provas
O Protocolo de Transferência de Arquivos
(FTP) é uma forma rápida e versátil de
transferir arquivos e utiliza as seguintes
portas:
Provas
Questão presente nas seguintes provas
É correto afirmar que a organização ICANN
é responsável por
Provas
Questão presente nas seguintes provas
É correto afirmar que o princípio de
funcionamento do correio eletrônico é o da
comunicação
Provas
Questão presente nas seguintes provas
Para o funcionamento da Internet, existem
três camadas de protocolos. Assinale a alternativa que não apresenta um dos
protocolos presentes na camada média.
Provas
Questão presente nas seguintes provas
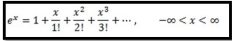
A imagem abaixo é um exemplo de um tipo
de equação presente para inserção no
Word 2016. Assinale a alternativa que a
apresenta.


Provas
Questão presente nas seguintes provas
Com base no Word 2016, assinale a
alternativa que apresenta o comando de
atalho utilizado para acessar a opção “Diga-me o que você deseja fazer”.
Provas
Questão presente nas seguintes provas
De acordo com notícia veiculada em junho
de 2016, o centro da Via Láctea foi, pela
primeira vez, captado em imagens graças
ao Gravity, um potente e inovador
instrumento do Observatório Europeu do
Sul (ESO, na sigla em inglês). É correto
afirmar que a Via Láctea é classificada
como um(a)
Provas
Questão presente nas seguintes provas
Cadernos
Caderno Container