Foram encontradas 28 questões.
A questão refere-se ao circuito mostrado na figura a seguir.
Um núcleo de material ferromagnético é inserido na bobina conforme mostra a figura a seguir.
Com relação à leitura do amperímetro e do wattímetro, é CORRETO afirmar:
Um núcleo de material ferromagnético é inserido na bobina conforme mostra a figura a seguir.
Com relação à leitura do amperímetro e do wattímetro, é CORRETO afirmar:
Provas
Questão presente nas seguintes provas
- Medidas Elétricas
- Circuitos ElétricosCircuitos CA
- Transformadores e Máquinas ElétricasMáquinas EstáticasTransformador de Potência
O circuito equivalente de um transformador de núcleo de ar é mostrado na figura a seguir.
A impedância de entrada ZI para esse transformador é:
A impedância de entrada ZI para esse transformador é:
Provas
Questão presente nas seguintes provas
No circuito mostrado na figura a seguir, a chave estava aberta e o sistema estava em regime permanente.
No instante t = 0, a chave é fechada e decorrido um longo tempo o sistema volta a ficar em regime. Desta forma, pode-se afirmar que:
No instante t = 0, a chave é fechada e decorrido um longo tempo o sistema volta a ficar em regime. Desta forma, pode-se afirmar que:
Provas
Questão presente nas seguintes provas
Um motor de indução trifásico está operando a vazio alimentado por sua tensão nominal, considerando-se os seguintes parâmetros:
I. Velocidade mecânica do rotor
II. Fator de potência
III. Tensão induzida no rotor
IV. Velocidade síncrona
V. Freqüência das correntes rotóricas
VI. Corrente rotórica
VII. Escorregamento
De acordo com a seqüência acima, em regime permanente, as variações dos parâmetros quando é inserida uma carga nominal no eixo do motor, comportam-se da seguinte maneira, respectivamente:
I. Velocidade mecânica do rotor
II. Fator de potência
III. Tensão induzida no rotor
IV. Velocidade síncrona
V. Freqüência das correntes rotóricas
VI. Corrente rotórica
VII. Escorregamento
De acordo com a seqüência acima, em regime permanente, as variações dos parâmetros quando é inserida uma carga nominal no eixo do motor, comportam-se da seguinte maneira, respectivamente:
Provas
Questão presente nas seguintes provas
O circuito mostrado na figura a seguir e as considerações feitas referem-se à questão.

Considere que:
- A chave S fica na posição “a” durante t1
- A chave S fica na posição “b” durante t2
- T = t1 + t2 (período) e f = 1/T (freqüência)
- A tensão média na resistência R é V
- f é a freqüência de operação da chave S
- A forma de onda da corrente no indutor é

Provas
Questão presente nas seguintes provas
Considere o circuito dado a seguir.
Obs.: µ é uma constante positiva
O circuito equivalente de Thévenin visto dos terminais a-b, ou seja, visto pela carga RL é:
Obs.: µ é uma constante positiva
O circuito equivalente de Thévenin visto dos terminais a-b, ou seja, visto pela carga RL é:
Provas
Questão presente nas seguintes provas
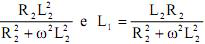
Considere os circuitos (a) e (b) desenhados a seguir.
Qual deve ser o valor de R1 e L1, de modo que a fonte VS(t) forneça a mesma potência aparente?
Qual deve ser o valor de R1 e L1, de modo que a fonte VS(t) forneça a mesma potência aparente?
Provas
Questão presente nas seguintes provas
- Medidas Elétricas
- Circuitos ElétricosCircuitos CA
- Transformadores e Máquinas ElétricasMáquinas EstáticasTransformador de Potência
O processador de energia elétrica, mostrado na figura a seguir, alimenta uma carga resistiva RL = 10 Ω .
A corrente “i” fornecida à carga é mostrada na figura a seguir. Com base nessas informações, calcule a potência dissipada na carga RL.
Assinale a alternativa CORRETA:
A corrente “i” fornecida à carga é mostrada na figura a seguir. Com base nessas informações, calcule a potência dissipada na carga RL.
Assinale a alternativa CORRETA:
Provas
Questão presente nas seguintes provas
Baseado na Norma NBR 5410/97 e na literatura que trata de instalações elétricas, julgue as afirmações que se seguem acerca do condutor neutro quando este fizer parte do circuito.
I. O condutor neutro deve ter a mesma seção dos condutores fase, em circuitos trifásicos, quando a seção dos condutores fase for inferior ou igual a 50 mm2 , em cobre.
II. O condutor neutro deve ter a mesma seção do(s) condutor(es) fase, em circuitos monofásicos a dois e três condutores, e bifásicos a três condutores, qualquer que seja a seção do condutor fase.
III. Em nenhuma circunstância, o condutor neutro poderá ser comum a vários circuitos.
IV. Em circuitos trifásicos, quando for prevista a presença de harmônicos, o condutor neutro pode ter sua seção inferior a seção do condutor fase, em qualquer circunstância.
Assinale a alternativa CORRETA:
I. O condutor neutro deve ter a mesma seção dos condutores fase, em circuitos trifásicos, quando a seção dos condutores fase for inferior ou igual a 50 mm2 , em cobre.
II. O condutor neutro deve ter a mesma seção do(s) condutor(es) fase, em circuitos monofásicos a dois e três condutores, e bifásicos a três condutores, qualquer que seja a seção do condutor fase.
III. Em nenhuma circunstância, o condutor neutro poderá ser comum a vários circuitos.
IV. Em circuitos trifásicos, quando for prevista a presença de harmônicos, o condutor neutro pode ter sua seção inferior a seção do condutor fase, em qualquer circunstância.
Assinale a alternativa CORRETA:
Provas
Questão presente nas seguintes provas
Considere o circuito equivalente, aproximado, por fase, do motor de indução mostrado na figura a seguir.
Sendo:
VS - Tensão eficaz de alimentação por fase
I1 - Corrente eficaz por fase do estator
XM - Reatância de magnetização
XS - Reatância de dispersão do estator
RS - Resistência do estator
XR - Reatância de dispersão do rotor referida ao estator
RR - Resistência do rotor referida ao estator
S - Escorregamento
O escorregamento é dado por
, sendo ωs a velocidade síncrona e ωm a velocidade angular do rotor.
Tomando como base o circuito equivalente dado, a equação matemática do torque desenvolvido pelo motor é
Usando estas informações, determine o torque desenvolvido na partida do motor (TP) e o escorregamento (Smax) onde o torque é máximo:
Sendo:
VS - Tensão eficaz de alimentação por fase
I1 - Corrente eficaz por fase do estator
XM - Reatância de magnetização
XS - Reatância de dispersão do estator
RS - Resistência do estator
XR - Reatância de dispersão do rotor referida ao estator
RR - Resistência do rotor referida ao estator
S - Escorregamento
O escorregamento é dado por
, sendo ωs a velocidade síncrona e ωm a velocidade angular do rotor. Tomando como base o circuito equivalente dado, a equação matemática do torque desenvolvido pelo motor é
Usando estas informações, determine o torque desenvolvido na partida do motor (TP) e o escorregamento (Smax) onde o torque é máximo:
Provas
Questão presente nas seguintes provas
Cadernos
Caderno Container