Foram encontradas 456 questões.
Provas
O sistema de bombeamento de água predial deverá ser substituído por um de maior porte, para atender às necessidades do local. O motor elétrico monofásico de tal sistema a ser instalado tem as seguintes características:
Potência: P = 2 cv
Rendimento a plena carga: η = 70%
Tensão de trabalho: V = 220 Vac
Fator de potência a plena carga: FP = 0,80 (indutivo)
Fator de conversão considerado: 735 W/cv
Admitindo que as informações citadas acima são suficientes para o projeto da instalação em questão, o valor da corrente elétrica no motor, em A, é, aproximadamente, igual a
Provas
Provas
Com relação à análise modal experimental:
I. são empregados instrumentos como excitador, condicionador de sinais e osciloperturbógrafo.
II. o diagrama de Nyquist é utilizado para transformar um sinal no domínio do tempo para o domínio da frequência.
III. é possível determinar as frequências naturais, os fatores de amortecimento e as formas modais a partir de ensaios de vibração.
IV. o fator de amortecimento pode ser obtido a partir do diagrama de Bode.
Está correto o que se afirma em
Provas
Considere a lista dos seguintes Equipamentos de Proteção Individual − EPI:
I. Capacete;
II. Luvas;
III. Talabarte;
IV. Braçadeira;
V. Protetor Facial;
VI. Manga;
VII. Protetor Auditivo.
Segundo a NR 06 − Equipamentos de Proteção Individual, constituem EPI para Proteção dos Membros Superiores APENAS os itens:
Provas
Provas
Provas
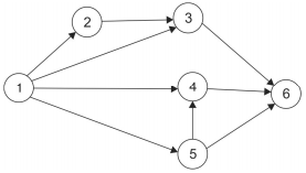
Considere o seguinte diagrama PERT-CPM.

Para as atividades abaixo relacionadas, tem-se os seguintes tempos: Otimista (To), Pessimista (Tp) e esperado (Te), expressos em semanas.
Atividade To Tp Te
1-2 2 5 4
1-3 2 4 3
1-4 1 4 3
1-5 2 5 4
2-3 3 6 4
3-6 2 7 4
4-6 2 8 5
5-4 1 7 4
5-6 1 3 2
Nestas condições, o caminho crítico e a variância (expressa em semanas) da rede PERT são, respectivamente:
Provas
A figura abaixo representa a movimentação de um trocador de calor a placas.

O elemento de içamento
Provas
Todo degrau ou escada de edificações públicas deve ter sinalização visual na borda do piso, em cor contrastante com a do acabamento. Essa sinalização pode estar restrita à projeção dos corrimãos laterais, localizada conforme figura:

Esta sinalização deve ter como largura e extensão, respectivamente, as seguintes dimensões, em cm:
Provas
Caderno Container