Foram encontradas 80 questões.
Considerando o código abaixo com um vetor inicializado, qual será a saída?

Provas
Analise o código abaixo e escolha qual será o resultado.

Provas
Tipo de Criptografia em que o remetente e o destinatário possuem a mesma chave e utilizam para codificar e decodificar as mensagens.
Provas
Camada do Modelo OSI, responsável por serviços como a compressão de dados e criptografia:
Provas
Mecanismo usado para aumentar a segurança de redes interligadas à internet, fornecendo uma barreira de proteção, filtrando o tráfego de entrada e de saída com o objetivo de garantir a integridade dos recursos ligados à rede.
Provas
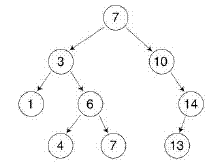
A figura abaixo representa que estrutura de dados?

Provas
Os métodos de acesso à rede, usados em PCs são definidos pelas normas IEEE 802. O IEEE 802 é uma norma que tem como objetivo definir uma padronização para redes locais e metropolitanas das camadas 1 e 2 (Física e Enlace) do modelo OSI para padrão de redes. Os padrões IEEE 802. 10 e 802.11 especificam, respectivamente:
Provas
- Fundamentos de ProgramaçãoEstruturas de DadosDefinição: Estrutura de Dados
- Fundamentos de ProgramaçãoEstruturas de DadosEstrutura de Dados: Pilha
Qual estrutura de dados é caracterizada por: o primeiro elemento a ser retirado deve ser o último que foi inserido?
Provas
- Protocolos e ServiçosRedes, Roteamento e TransporteBGP: Border Gateway Protocol
- Protocolos e ServiçosRedes, Roteamento e TransporteOSPF: Open Shortest Path First
- Protocolos e ServiçosRedes, Roteamento e TransporteRIP: Routing Information Protocol
São exemplos de protocolos de roteamento:
Provas
Nome do Protocolo da camada de aplicação que associa um nome simbólico de um site ao seu endereço IP.
Provas
Caderno Container