Foram encontradas 80 questões.
O coeficiente de correlação por postos de Spearman:
Provas
- Estatística InferencialTeste de HipótesesAspectos Básicos do Teste de Hipóteses
- Estatística InferencialTeste de HipótesesOutros Testes
O teste de Friedman é utilizado para testar se as diferenças entre uma variável de interesse das k populações são estatisticamente significativas ou se as k amostras tenham sido extraídas da mesma população. O uso do teste de Friedman é adequado
Provas
O modelo clássico para séries temporais supõe que a série temporal Zt, t=1, 2, . . . , N pode ser escrita como Zt = Tt + St + at , t=1, 2, . . . , N, ou seja, segundo uma soma de três componentes: uma tendência, uma componente sazonal e um termo aleatório. Com relação ao modelo considerado podemos afirmar que:
Provas
)Provas
A tabela seguinte nos dá os tamanhos (Ni) e respectivos desvios padrões (si) da variável aleatória X, dentro de quatro estratos nos quais a população foi dividida.

Provas
O gestor de Marketing de uma empresa deseja estimar, com nível de confiança de 95%, a proporção de clientes cadastrados que praticam algum tipo de atividade esportiva. O tamanho mínimo da amostra, para que o erro da estimativa seja 3,5% é igual a:
Provas
Em determinado mercado, duas corretoras, X e Y, são responsáveis por 40% e 60% do volume total de contratos negociados, respectivamente. Do volume correspondente das corretoras X e Y, 10% e 20%, respectivamente, são contratos futuros em dólar. Um contrato é selecionado ao acaso e verifica-se que é futuro em dólar. A probabilidade do mesmo ter sido negociado pela corretora Y é igual a:
Provas
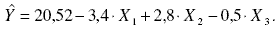
A partir de uma amostra de 36 elementos foi estabelecido o seguinte modelo de regressão:

Para a elaboração do quadro para Análise de Variância, sabe-se que a Variação Explicada é igual a 1.656 e a Variação Total é igual a 3.128. Assim, o valor da estatística F é igual a:
Provas
Ao analisar um modelo de regressão com uma variável explicativa, um pesquisador realizando o teste de Durbin-Watson obteve o valor 2,01. De acordo com o resultado obtido podemos afirmar que:
Provas
A tabela a seguir mostra o Índice de Preços ao Consumidor (IPC) no período dos anos de 2002 a 2008, tomado como base 100 o ano de 1995:

Provas
Caderno Container