Foram encontradas 760 questões.
PORQUE
as engrenagens são elementos de máquinas padronizados e utilizados em transmissões (afirmativa 2).
Pode-se concluir que:
Provas
Provas
Provas
Analise as afirmativas a seguir sobre molas helicoidais de compressão.
1 - Quanto menor o índice de curvatura, mais flexível é a mola.
2 - A tensão atuante nas espiras é a tensão normal de compressão.
3 - A deflexão é proporcional ao número de espiras.
4 - O comprimento livre da mola não deve ultrapassar quatro vezes o diâmetro médio, para evitar a flambagem.
Está correto somente o que se afirma em:
Provas
Analise as observações abaixo sobre freio de sapatas internas (a tambor) em relação ao freio a disco.
1 - maior custo de fabricação e manutenção;
2 - menor eficiência de frenagem;
3 - possui menor área de contato;
4 - incorpora facilmente um sistema de freio de estacionamento.
São vantagens, nesse caso, somente:
Provas
Analise as afirmativas a seguir, considerando (F) para a(s) falsa(s) e (V) para a(s) verdadeira(s), sobre transmissões por correntes:
( ) Quanto menor a largura dos roletes, menor a ação cordal.
( ) Quanto maior o número de dentes do pinhão, menor o efeito poligonal.
( ) O dimensionamento do pinhão e da coroa segue os mesmos critérios utilizados para o dimensionamento de engrenagens cilíndricas de dentes retos.
( ) A vida da corrente é determinada estatisticamente e segue os mesmos critérios utilizados para determinação da vida de rolamentos radiais de esferas.
A sequência correta é:
Provas
I – As canaletas da polia não devem apresentar desgaste, oxidação ou bordas trincadas, a fim de evitar o esmagamento lateral dos cabos.
II – O alongamento irregular dos arames e o atrito entre eles são as principais causas da grande incerteza do limite de resistência dos cabos.
III – A alma dos cabos de aço pode ser fabricada de fibras (naturais ou artificiais) ou de conduítes poliméricos.
IV – A especificação dos cabos de aço é feita da seguinte forma: diâmetro externo x nº de pernas x nº de arames por perna, seguido do tipo de alma.
Está correto somente o que se afirma em:
Provas

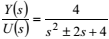
Admitindo-se que 2s no denominador pode ser positivo ou negativo, a função:
Provas

O circuito completo e os circuitos 1 e 2 são denominados, respectivamente, filtros:
Provas

O valor eficaz de U é igual a 220 V e os ângulos α e β são,respectivamente, iguais a 30° e 210°. A tensão eficaz de V é:
Provas
Caderno Container