Foram encontradas 760 questões.
A Condutividade Hidráulica do Solo é essencial para qualquer estudo que envolva o movimento da água no solo, seja para estudar a própria dinâmica da água, seja para estudar o transporte de elementos, bem como seus impactos potenciais ao ambiente.
Para determinar a condutividade hidráulica de uma amostra de solo foi usado o permeâmetro de carga constante da figura.
Sabe-se que:
- o volume de água coletada no período de 5 min foi de 300 cm³;
- a área da seção transversal da amostra de solo é de 177 cm² ;
- a carga de água (h) é de 45 cm;
- o comprimento da amostra de solo por onde a água percola é de 27 cm.
Provas
Questão presente nas seguintes provas
Quando se trata de propriedades do solo, um método popular de determinação do Limite de Liquidez é o Método de Penetração do Cone (BS 1377). Após a execução de diversos ensaios com teores de umidade do solo variáveis, foi obtido o gráfico abaixo.
A partir da observação do gráfico, é correto concluir que o limite de liquidez (LL) do solo é:
A partir da observação do gráfico, é correto concluir que o limite de liquidez (LL) do solo é:
Provas
Questão presente nas seguintes provas
- Gerenciamento, Planejamento e Controle de Obras
- Orçamento no Planejamento e Controle de Obras na Engenharia Civil
O cronograma físico-financeiro de um empreendimento com quatro meses de duração é representado a seguir, com a discriminação das atividades, dos percentuais de execução previstos para cada mês, e com os custos totais de cada atividade:
Ao final do mês de março, o desembolso acumulado previsto para o empreendimento será de aproximadamente:
Ao final do mês de março, o desembolso acumulado previsto para o empreendimento será de aproximadamente:
Provas
Questão presente nas seguintes provas
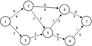
Enunciado rede PERT
O diagrama de setas (rede PERT/CPM) apresentado a seguir representa o planejamento do tempo de um projeto, com o nó 1 caracterizando o evento de início e as setas representando as atividades denominadas com letras maiúsculas e com duração apresentada em dias corridos.

Baseado no enunciado rede PERT, o caminho crítico do projeto representado pelo diagrama é definido pela seguinte sequência de atividades:O diagrama de setas (rede PERT/CPM) apresentado a seguir representa o planejamento do tempo de um projeto, com o nó 1 caracterizando o evento de início e as setas representando as atividades denominadas com letras maiúsculas e com duração apresentada em dias corridos.

Provas
Questão presente nas seguintes provas
Enunciado rede PERT
O diagrama de setas (rede PERT/CPM) apresentado a seguir representa o planejamento do tempo de um projeto, com o nó 1 caracterizando o evento de início e as setas representando as atividades denominadas com letras maiúsculas e com duração apresentada em dias corridos.

Baseado no enunciado rede PERT, a folga livre e a folga total da atividade D são, respectivamente, de:O diagrama de setas (rede PERT/CPM) apresentado a seguir representa o planejamento do tempo de um projeto, com o nó 1 caracterizando o evento de início e as setas representando as atividades denominadas com letras maiúsculas e com duração apresentada em dias corridos.

Provas
Questão presente nas seguintes provas
A seção de uma viga de concreto armado em equilíbrio está submetida a um momento fletor em serviço de 75 kNm. Sabendo que o coeficiente de majoração de carga é 1,4, o aço é do tipo CA-50 com coeficiente de minoração de resistência igual a 1,15, e o braço de alavanca é 483 mm, a área de aço necessária, em mm², é:
Provas
Questão presente nas seguintes provas
Considerando o pilar de uma ponte de comprimento L com rigidez à flexão EJ constante, engastado na sua base e livre no seu topo, o valor da flexibilidade desse pilar é:
Provas
Questão presente nas seguintes provas
Sabe-se que o núcleo central de uma seção elíptica é uma elipse concêntrica a essa seção. Sabendo que os semi-eixos da seção elíptica são iguais a x e y, com x > y, então a elipse que forma o núcleo central tem semi-eixos iguais a:
Provas
Questão presente nas seguintes provas
Uma amostra de solo de 0,02 m³ apresenta densidade de suas partículas igual a 2,70. Sabendo que, após secagem em estufa, a massa do solo é 30 kg, o índice de vazios dessa amostra é:
Provas
Questão presente nas seguintes provas
Um muro vertical de 5m de altura suporta, de um só lado, um solo de mesma altura com peso específico de 18 kN/m³. Considerando o coeficiente de empuxo ativo igual a 0,3, o valor do empuxo ativo sobre o muro pelo método de Rankine, em kN/m, é:
Provas
Questão presente nas seguintes provas
Cadernos
Caderno Container