Foram encontradas 760 questões.

A partir dos dados dos Quadros I e II, e sabendo-se que 5% das despesas correntes não foram pagas e que, das despesas de capital, a amortização de empréstimos foi integralmente paga no exercício, além de 70% do valor relativo à aquisição de material permanente, o valor das despesas que devem ser inscritas em restos a pagar é:
Provas
Questão presente nas seguintes provas
- NBCsNBC TSP 3: Provisões, Passivos e Ativos Contingentes
- Procedimentos Contábeis Patrimoniais
- Demais Normas e Legislações
- MCASP: Manual de Contabilidade Aplicada ao Setor Público
A Parte II – Procedimentos Contábeis Patrimoniais do Manual de Contabilidade Aplicada ao Setor Público – MCASP trata da definição e requisitos de mensuração e reconhecimento de provisões, passivos contingentes e ativos contingentes.
Um dos elementos que caracteriza uma provisão é:
Provas
Questão presente nas seguintes provas
Com o objetivo de possibilitar a consolidação das contas públicas
nos diversos níveis de governo, com a adequada elaboração das
demonstrações contábeis, o PCASP possui um mecanismo para a
segregação dos valores das transações que serão incluídas ou
excluídas na consolidação. Constituem operações que devem ser
identificadas no nível de consolidação com o dígito 1, EXCETO
transações:
Provas
Questão presente nas seguintes provas
- IntroduçãoPrincípios da Contabilidade
- NBCsNBC TSP 07: Ativo ImobilizadoDepreciação, Amortização e Exaustão
- Procedimentos Contábeis Patrimoniais
Conforme preceitua a Lei nº 4.320/1964, os serviços de
contabilidade serão organizados de forma a permitir o
conhecimento da composição patrimonial. Um dos
procedimentos necessários ao alcance deste objetivo é o registro
adequado da depreciação de ativos. Acerca desse procedimento,
é correto afirmar que:
Provas
Questão presente nas seguintes provas
Os bens do patrimônio cultural, assim definidos por sua
significância histórica, cultural ou ambiental, podem ser
exemplificados por monumentos, prédios históricos, sítios
arqueológicos e áreas de conservação. Uma das características
desses bens é que:
Provas
Questão presente nas seguintes provas
Uma entidade da administração pública, após a elaboração do
balanço da execução da orçamentária de um determinado
exercício, apurou uma economia orçamentária de 9%. Sabendo-se
que o orçamento apresentou estimativa de R$ 240 milhões, é
correto afirmar que:
Provas
Questão presente nas seguintes provas
As variações patrimoniais são transações que promovem
alterações nos elementos patrimoniais da entidade do setor
público, mesmo em caráter compensatório, afetando ou não o
seu resultado. Sua adequada contabilização é importante para
evidenciar a composição do patrimônio público, conforme
requerido pelo art. 85 da Lei nº 4.320/1964. A alternativa que
apresenta, respectivamente, exemplos de variações qualitativas e
quantitativas é:
Provas
Questão presente nas seguintes provas
Para gerenciar tempo, Geraldo definiu e sequenciou as atividades do seu projeto de software. Para representá-las graficamente, Geraldo precisa de um método que use apenas relacionamentos de Término para Início entre as atividades, e que represente atividades fantasmas, também conhecidas por dummy. Para atender sua necessidade, Geraldo deve utilizar um:
Provas
Questão presente nas seguintes provas
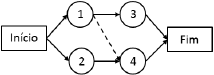
O diagrama de rede CPM abaixo representa um pequeno projeto, com a duração de cada atividade em dias.
O caminho crítico do projeto e a duração do caminho crítico são, respectivamente:
O caminho crítico do projeto e a duração do caminho crítico são, respectivamente:
Provas
Questão presente nas seguintes provas
Glaucia identificou problemas em um projeto de software cuja correção demandaria muitas alterações. Em vez de fazer essas alterações, a Gerente de Projeto de Software, Glaucia, decidiu elaborar um plano de contingência como resposta ao risco aplicando a estratégia:
Provas
Questão presente nas seguintes provas
Cadernos
Caderno Container