Foram encontradas 1.540 questões.
Julgue os próximos itens, referentes à qualidade de ajuste de um modelo de regressão.
Considere que, em um modelo de regressão linear simples, o valor esperado do quadrado médio do resíduo seja dado por
, em que β1 é a inclinação da reta e σ2 é a variância da resposta. Nesse caso, se a estatística F da ANOVA para qualidade de ajuste fosse unitária para um modelo, a inclinação da reta de regressão seria nula
Considere que, em um modelo de regressão linear simples, o valor esperado do quadrado médio do resíduo seja dado por
Provas
Questão presente nas seguintes provas
Com relação à inferência para os parâmetros de modelos de regressão linear, julgue os seguintes itens.
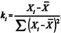
Se o coeficiente de inclinação da reta de um modelo de regressão linear simples pode ser escrito como
em que
para i = 1, ...,n,então 
Se o coeficiente de inclinação da reta de um modelo de regressão linear simples pode ser escrito como
Provas
Questão presente nas seguintes provas
Com relação à inferência para os parâmetros de modelos de regressão linear, julgue os seguintes itens.
Em um modelo de regressão linear simples, com resposta Y e variável explicativa X, o valor esperado para a variável resposta no ponto X =
será igual a
.
Em um modelo de regressão linear simples, com resposta Y e variável explicativa X, o valor esperado para a variável resposta no ponto X =
Provas
Questão presente nas seguintes provas
Um sistema linear, invariante no tempo contínuo, sem memória em t = 0, é definido pela equação diferencial
e pode ser representado no espaço de estados pelas seguintes equações matriciais:
Com base nessas informações, julgue os itens subsecutivos.
A função de transferência obtida a partir das equações matriciais que representam o referido sistema é dada por
em que I é a matriz identidade de segunda ordem.
Com base nessas informações, julgue os itens subsecutivos.
A função de transferência obtida a partir das equações matriciais que representam o referido sistema é dada por
Provas
Questão presente nas seguintes provas

No que se refere às ideias e aos aspectos linguísticos do texto acima, julgue os itens a seguir.
O termo “de senhas” (l. 18) e a oração “de se regulamentar o uso da Internet” (l. 21 e 22) complementam o sentido de nomes substantivos.
Provas
Questão presente nas seguintes provas

O gráfico acima mostra os resultados do esforço nacional para o cumprimento da meta 2 do Grupo de Persecução Penal, da Estratégia Nacional de Justiça e Segurança Pública. O objetivo dessa meta era o de concluir os inquéritos policiais relativos a homicídios dolosos instaurados até 31 de dezembro de 2007. Para avaliar o cumprimento da meta 2, o Grupo de Persecução Penal adotou um critério percentual, segundo o qual era considerada cumprida a meta, caso o estado tivesse concluído 90% do seu estoque inicial de inquéritos. Com base nessas informações e nos dados do gráfico, julgue os itens que seguem.
De acordo com o gráfico, nenhuma das regiões brasileiras cumpriu a meta 2.
Provas
Questão presente nas seguintes provas

Em relação às ideias e às estruturas linguísticas do texto acima, julgue os itens de 1 a 7.
No primeiro período do segundo parágrafo, sobrepõem-se duas informações: a de que, mesmo no Brasil República, as leis traduziram a visão machista de superioridade masculina e a de que essa visão imperava antes dessa época.
Provas
Questão presente nas seguintes provas

O estado que ficou mais próximo de cumprir a meta 2 foi Tocantins e o que ficou mais distante de cumprir essa meta foi Minas Gerais.
Provas
Questão presente nas seguintes provas

Os “motivos errados” a que se refere o autor do texto à linha 6 estão associados à atitude do governo brasileiro, na década de vinte do século passado, de negar a miscigenação do povo em favor da eugenia
Provas
Questão presente nas seguintes provas

No que se refere às ideias e aos aspectos linguísticos do texto acima, julgue os itens a seguir.
Depreende-se da leitura do texto que a criação de leis que criminalizam práticas relacionadas ao uso da Internet e a discussão acerca da necessidade de regulamentação do uso da Internet são respostas ao crescimento dos problemas advindos da expansão do mundo virtual.
Provas
Questão presente nas seguintes provas
Cadernos
Caderno Container