Foram encontradas 70 questões.
O Design Thinking vem sendo frequentemente adotado nas empresas para diferentes aplicações, tendo como objetivo primordial a construção de soluções de problemas considerados complexos.
A característica determinante do Design Thinking, enquanto ações mobilizadoras para resolução de problemas, se dá pela(o)
Provas
Questão presente nas seguintes provas
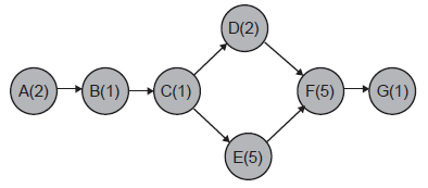
Considere a rede de projeto da Figura abaixo, onde as
durações de cada atividade estão indicadas em semanas
entre parênteses.

Tem(êm) folga a(s) atividade(s)

Tem(êm) folga a(s) atividade(s)
Provas
Questão presente nas seguintes provas
A empresa de operação logística W, diante da necessidade de aumentar o nível de serviço ao cliente, precisa deliberar
sobre duas soluções projetadas por sua equipe técnica, a saber: automatizar a montagem de pedidos, com valor de
implantação de R$10.000.000,00, ou reajustar os contratos com transportadoras, com valor de R$5.000.000,00. Quando
implementadas, ambas as soluções podem gerar ganhos elevados ou pequenos com o aumento de nível de serviço.
Para tomar essa decisão, a cúpula executiva da empresa optou por aplicar a análise de Valor Monetário Esperado (Expected Monetary Value - EMV), um método para análise quantitativa de risco. Os fatores a serem considerados nesse processo decisório são representados na árvore de decisão que segue:

A primeira solução, que consiste em automatizar a montagem de pedidos, apresenta probabilidade de 85% de gerar R$ 20.000.000,00 em ganho por aumento do nível de serviço e 15% de probabilidade de ganho de R$ 2.000.000,00. A segunda solução, que consiste em reajustar os contratos com transportadoras, apresenta probabilidade de 60% de gerar R$ 30.000.000,00 em ganho por aumento do nível de serviço e 40% de probabilidade de ganho de R$ 10.000.000,00.
Portanto, seguindo o método adotado para tomada de decisão, a solução a ser implantada por W é
Para tomar essa decisão, a cúpula executiva da empresa optou por aplicar a análise de Valor Monetário Esperado (Expected Monetary Value - EMV), um método para análise quantitativa de risco. Os fatores a serem considerados nesse processo decisório são representados na árvore de decisão que segue:

A primeira solução, que consiste em automatizar a montagem de pedidos, apresenta probabilidade de 85% de gerar R$ 20.000.000,00 em ganho por aumento do nível de serviço e 15% de probabilidade de ganho de R$ 2.000.000,00. A segunda solução, que consiste em reajustar os contratos com transportadoras, apresenta probabilidade de 60% de gerar R$ 30.000.000,00 em ganho por aumento do nível de serviço e 40% de probabilidade de ganho de R$ 10.000.000,00.
Portanto, seguindo o método adotado para tomada de decisão, a solução a ser implantada por W é
Provas
Questão presente nas seguintes provas
Uma empresa aumentou o volume de produção de um
único produto, mantendo seus custos fixos de produção
constantes e com diminuição do custo unitário médio do
bem produzido no período de três anos, sem realizar novos
investimentos em infraestrutura, equipamentos ou
tecnologia que modifiquem sua capacidade produtiva.
Nesse caso, a empresa realizou uma
Nesse caso, a empresa realizou uma
Provas
Questão presente nas seguintes provas
Uma das principais responsabilidades de um gerente é
conseguir o uso produtivo dos recursos de uma organização.
Produtividade é o indicador utilizado para descrever
isso, medindo a relação entre output (bens e serviços produzidos)
e input (recursos empregados).
Para organizações sem fins lucrativos, uma maior produtividade
significa custos mais baixos. Nas organizações
com fins lucrativos, a produtividade é um fator importante
para determinar o quão competitiva é a empresa.
Qual das seguintes ações tende a reduzir a produtividade de uma empresa?
Qual das seguintes ações tende a reduzir a produtividade de uma empresa?
Provas
Questão presente nas seguintes provas
Considere o seguinte conceito:
Quando o receio da extinção e a urgência de sobreviver financeiramente ditam a conduta moral, o emprego direto da força é uma norma aceita.
Trata-se do conceito de
Provas
Questão presente nas seguintes provas
Segundo o modelo administrativo de tomada de decisão,
existe um processo que consiste em analisar alternativas
apenas até que seja encontrada uma solução que apresente
um mínimo de requisitos e, então, encerrar a procura
por uma melhor solução.
Esse processo é denominado
Esse processo é denominado
Provas
Questão presente nas seguintes provas
Um processo típico de desenvolvimento de produto é
dividido em macrofases, a saber: Pré-desenvolvimento,
Desenvolvimento e Pós-desenvolvimento. A macrofase
de Desenvolvimento, por sua vez, é dividida em diversas
fases. Uma dessas fases tem como objetivo criar, a partir
do Plano do Projeto, as chamadas Especificações-Meta,
compostas pelos requisitos e informações qualitativas necessários
para o desenvolvimento do futuro produto.
O nome dessa fase é
O nome dessa fase é
Provas
Questão presente nas seguintes provas
Um dos fundamentos de excelência, segundo a Fundação
Prêmio Nacional da Qualidade, é o compromisso com as
partes interessadas.
Tal fundamento orienta que uma efetiva gestão de partes interessadas deva
Tal fundamento orienta que uma efetiva gestão de partes interessadas deva
Provas
Questão presente nas seguintes provas
A partir de uma perspectiva interna das empresas, a Visão
Baseada em Recursos (VBR) consiste em uma abordagem
da Estratégia Empresarial que reconhece a importância
dos recursos relacionados à empresa como fonte
de vantagem competitiva. Torna-se importante, pois, o desenvolvimento
e a efetiva gestão desses recursos, entendidos
aqui como os ativos financeiros, físicos, humanos,
tecnológicos e organizacionais utilizados para se gerar
valor. Entretanto, para a efetiva gestão de tais recursos,
é importante que se adotem critérios para destacar quais
deles são mais valiosos sob o ponto de vista do posicionamento
estratégico diferenciado.
Sob este aspecto, os recursos considerados valiosos devem ser
Sob este aspecto, os recursos considerados valiosos devem ser
Provas
Questão presente nas seguintes provas
Cadernos
Caderno Container