Foram encontradas 70 questões.
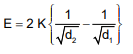
A equação abaixo foi proposta por Bond para associar a
energia E por quantidade de massa necessária para quebrar partículas de minério, de forma que elas passem de
diâmetro d1
para diâmetro d2
, onde d2
< d1
.
A dimensão da constante de Bond K da equação pode ser escrita como
A dimensão da constante de Bond K da equação pode ser escrita como
Provas
Questão presente nas seguintes provas
- Instalações ElétricasEquipamentos em Média Tensão
- Sistemas Elétricos de PotênciaDistribuição de Energia Elétrica
Em um prédio comercial hipotético, o quadro de distribuição de energia de um escritório é conectado ao seu
respectivo medidor, localizado no pilotis, por meio de um
alimentador trifásico a 4 fios, tensão de linha de 220 V.
Sabe-se que a carga instalada no quadro de distribuição
é de 45 kW, e a distância entre o quadro de distribuição e
o medidor é de 10 m.
De acordo com o critério de queda de tensão admissível e adotando-se uma máxima queda de tensão de 4% entre o quadro de distribuição e o medidor, a seção do alimentador, em mm2 , é

De acordo com o critério de queda de tensão admissível e adotando-se uma máxima queda de tensão de 4% entre o quadro de distribuição e o medidor, a seção do alimentador, em mm2 , é

Provas
Questão presente nas seguintes provas
A equipe de licitação de uma empresa hipotética está envolvida na elaboração do processo para a aquisição de
ferramentas, equipamentos de proteção individual (EPI)
e equipamentos de proteção coletiva (EPC) para a sua
equipe de manutenção. Durante a fase inicial do processo, verificou-se que todos os itens podem ser bem definidos no edital para a licitação.
Em face do exposto, a modalidade de licitação a ser escolhida pela administração para a aquisição dos bens é o(a)
Em face do exposto, a modalidade de licitação a ser escolhida pela administração para a aquisição dos bens é o(a)
Provas
Questão presente nas seguintes provas
Com o objetivo de realizar o projeto de um sistema de
aterramento de uma instalação hipotética, a equipe técnica da empresa realiza uma série de medidas empregando
o método de Wenner. A partir dos dados obtidos nas medidas, foi plotado o gráfico espaçamento (a) pela resistividade (p), conforme mostrado na Figura a seguir.
De acordo com o perfil da curva apresentada, o número de camadas estratificadas do solo é
De acordo com o perfil da curva apresentada, o número de camadas estratificadas do solo é
Provas
Questão presente nas seguintes provas
- Instalações ElétricasSubestações
- Transformadores e Máquinas ElétricasMáquinas EstáticasTransformador de Potência
- Sistemas Elétricos de PotênciaDistribuição de Energia Elétrica
Uma empresa possui, atualmente instalado em sua subestação, um transformador de 20 kVA, 12 kV – 200 V, D – Y.
Dados de placa do gerador instalado na empresa indicam
que ele tem uma reatância percentual de 5%, calculada
nas bases de potência e tensão do gerador atual. Deve-se
instalar um novo transformador em paralelo, com as mesmas especificações do transformador já existente, para
atender ao aumento de carga previsto para a empresa.
Para que a potência seja distribuída igualmente entre os
dois transformadores, após a sua instalação em paralelo,
a reatância, em Ω, referida para o lado de baixa tensão do
novo transformador é de
Provas
Questão presente nas seguintes provas
A equipe de engenharia de uma empresa hipotética deverá fazer o ajuste de um relé de sobrecorrente de fase a ser
instalado no lado de alta tensão de um transformador de
potência trifásico de 2500 √3 kVA, 40 kV – 200 V, Δ - Y.
Sabe-se que o transformador admite uma sobrecarga de
20%, e que o transformador de corrente empregado no
sistema é de 100:5 A.
Diante do exposto, verifica-se que a máxima corrente de sobrecarga vista pelo relé, em A, é:
Diante do exposto, verifica-se que a máxima corrente de sobrecarga vista pelo relé, em A, é:
Provas
Questão presente nas seguintes provas
Em uma auditoria de rotina em uma empresa, foi identificada uma irregularidade na capacitação dos empregados
designados para trabalharem em suas instalações elétricas. Após a análise da documentação da empresa, de
seus funcionários e de sua forma de trabalho, a capacitação teve que ser revogada porque
Provas
Questão presente nas seguintes provas
A equipe de manutenção de uma empresa precisa realizar
a medição da potência de uma máquina monofásica. Entretanto, o wattímetro encontra-se com defeito. De modo
a conseguir realizar a medição, foi usado um osciloscópio
para medir a tensão e a corrente na máquina. A tensão
foi medida diretamente nos terminais da máquina, e a
corrente foi medida indiretamente, por meio da leitura da
tensão em um resistor shunt conectado em série com a
carga, resultando:
Vcarga (t) = 250 cos (377 t + 30º) V Vshunt(t) = 10 cos (377 t + 60º) A
Desprezando a potência dissipada no resistor shunt e sabendo que sua resistência é de 100 mW, a potência ativa da máquina, em W, é de
Vcarga (t) = 250 cos (377 t + 30º) V Vshunt(t) = 10 cos (377 t + 60º) A
Desprezando a potência dissipada no resistor shunt e sabendo que sua resistência é de 100 mW, a potência ativa da máquina, em W, é de
Provas
Questão presente nas seguintes provas
Um circuito monofásico é composto por uma fonte de tensão (EA) conectada a uma carga por meio de um cabo de
impedância Z. Nas condições atuais de funcionamento, a
carga opera com uma tensão terminal (Vf
) e corrente (IL
).
Os valores das tensões e das correntes são listados na
Tabela abaixo.
Diante do exposto, conclui-se que o valor da resistência do cabo, em Ω, é de
Diante do exposto, conclui-se que o valor da resistência do cabo, em Ω, é de
Provas
Questão presente nas seguintes provas
Um gerador de um sistema elétrico de potência (SEP) hipotético, ligado em Y, possui uma potência de 15 √3 MVA
e uma tensão de armadura de 10 kV. Sabe-se que as
reatâncias de sequências positiva, negativa e zero são,
respectivamente, j 0,5 pu, j 0,3 pu e j 0,2 pu. Durante a
execução dos testes de seu comissionamento, o gerador
é colocado em operação em vazio, com tensão terminal
nominal e, acidentalmente, ocorre um curto fase e terra.
Diante do exposto, o módulo da corrente de falta, em kA, é
Diante do exposto, o módulo da corrente de falta, em kA, é
Provas
Questão presente nas seguintes provas
Cadernos
Caderno Container