Foram encontradas 80 questões.
Um engenheiro mecânico modela uma peça no programa AutoCad considerando todas as suas dimensões em centímetros. A partir do modelo construído, esse engenheiro extrai algumas vistas ortográficas que deverão ser apresentadas em escala 1/10 em uma folha de desenho.
Assim, ao posicionar as viewports referentes a essas vistas no layout da folha (paper space), o engenheiro deve aplicar o comando zoom, em cada viewport, considerando o fator de escala por meio da instrução:
Provas
Os símbolos apresentados nas figuras a seguir são amplamente utilizados na representação de instalações elétricas prediais.

Os símbolos (I) e (II) indicam, respectivamente:
Provas
A execução indireta de obras e serviços de engenharia na Administração Pública admite diferentes tipos de regimes de contratação.
Dentre eles, aquele no qual o contratado é responsável por elaborar e desenvolver os projetos básico e executivo, executar as obras e serviços propostos, fornecer bens ou prestar serviços especiais e realizar montagem, teste, pré-operação e as demais operações necessárias e suficientes para a entrega final do objeto é conhecido como contratação:
Provas
Um engenheiro mecânico é responsável pelo processo licitatório para contratação de serviços de fiscalização, supervisão e gerenciamento de uma obra. O custo desses serviços é estimado acima de R$ 400.000,00.
Desse modo, o julgamento das propostas para esse processo poderá ser feito pelo critério de:
Provas
- Programação, Controle e Fiscalização de ObrasControle Físico e Financeiro
- Programação, Controle e Fiscalização de ObrasOrçamento e Composição de Custos
Um engenheiro mecânico deve calcular o BDI (benefícios e despesas indiretas) de uma obra. Para tanto, esse engenheiro obteve as taxas indicadas na tabela a seguir.
|
Parcela do BDI |
Percentual |
|
Taxa de administração central (AC): |
11,5% |
|
Taxa de seguros e garantias (S): |
0,8% |
|
Taxa de riscos (R): |
1,3% |
|
Taxa de despesas financeiras (DF): |
1,0% |
|
Lucro / remuneração (L): |
10,0% |
|
Impostos / tributos (I): |
5,0% |
|
Garantias (G): |
0,4% |
Utilizando todos esses dados, o BDI calculado pelo engenheiro foi de, aproximadamente:
Provas
A figura a seguir apresenta um sistema de bombeamento composto por 3 bombas iguais operando simultaneamente.

Fonte: GOMES, H. P., CARVALHO, P. S. O., 2012, Manual de Sistemas de Bombeamento. Ed. UFPB
Considerando que cada bomba tem vazão de 30 l/s e altura manométrica de 45 m, a vazão e a altura manométrica desse conjunto de bombas valem, respectivamente:
Provas
A figura a seguir apresenta uma treliça sob a ação de uma carga distribuída uniformemente no seu banzo inferior.

Nessa estrutura, as barras 1, 2 e 3 são submetidas a esforços de:
Provas
- Programação, Controle e Fiscalização de ObrasControle Físico e Financeiro
- Programação, Controle e Fiscalização de ObrasOrçamento e Composição de Custos
Na indústria, a eficiência operacional e a redução de custos são aspectos cruciais.
Uma abordagem que implica melhorias significativas na eficiência e na redução de custos é a:
Provas
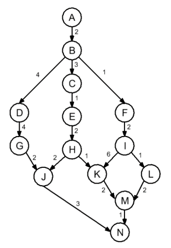
A figura a seguir apresenta a rede PERT/CPM de uma obra, que consiste das atividades identificadas pelas letras A a N.

Nessa rede, o caminho crítico é definido pela sequência de etapas:
Provas
Na indústria, há diferentes tipos de manutenção cujo intuito é minimizar paradas de produção e acidentes de trabalho. Desse modo, o tipo de manutenção efetuado em intervalos predeterminados, ou de acordo com critérios prescritos, destinado a reduzir a probabilidade de falha ou a degradação do funcionamento de um item é denominado manutenção:
Provas
Caderno Container