Magna Concursos

Foram encontradas 120 questões.

2324224 Ano: 2022
Disciplina: TI - Desenvolvimento de Sistemas
Banca: FCC
Orgão: TRT-19
Provas:

Nos projetos da Plataforma Digital do Poder Judiciário PDPJ-Br,

 

Provas

Questão presente nas seguintes provas
2324223 Ano: 2022
Disciplina: Legislação dos TRFs, STJ, STF e CNJ
Banca: FCC
Orgão: TRT-19
Provas:

A autenticação na Plataforma Digital do Poder Judiciário PDPJ-Br ocorre por meio de uma solução A, baseada em um aplicativo open source de gestão de identidades e acesso, denominado B, com base no protocolo C.

(Disponível em: https://docs.pdpj.jus.br)

De acordo com o texto acima, A, B e C são, correta e respectivamente:

 

Provas

Questão presente nas seguintes provas
2324222 Ano: 2022
Disciplina: TI - Redes de Computadores
Banca: FCC
Orgão: TRT-19
Provas:

O Fibre Channel

 

Provas

Questão presente nas seguintes provas
2324221 Ano: 2022
Disciplina: TI - Organização e Arquitetura dos Computadores
Banca: FCC
Orgão: TRT-19
Provas:

É uma tecnologia usada no gerenciamento de armazenamento de dados que separa intencionalmente as funções responsáveis por provisionar capacidade, proteger dados e controlar o posicionamento de dados do hardware físico no qual os dados são armazenados. Com isto, torna-se possível que o hardware de armazenamento seja facilmente substituído, atualizado e expandido sem remover procedimentos operacionais ou descartar investimentos em software já realizados. Em sua forma mais versátil, as soluções baseadas nesta tecnologia ocultam particularidades de hardware proprietário por meio de uma camada de software de virtualização.

Ao contrário dos hypervisors, que fazem um único servidor parecer muitas máquinas virtuais, esta tecnologia combina diversos dispositivos de armazenamento em pools gerenciados centralmente.

(Disponível em: https://www.datacore.com)

O texto acima se refere a

 

Provas

Questão presente nas seguintes provas
2324220 Ano: 2022
Disciplina: TI - Desenvolvimento de Sistemas
Banca: FCC
Orgão: TRT-19
Provas:

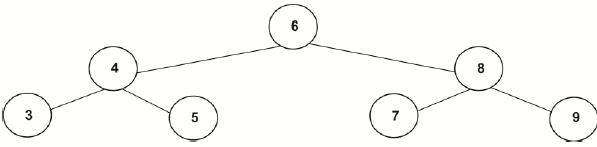
Considere a Árvore Binária de Pesquisa (ABP) abaixo.

Enunciado 3573068-1

Os elementos desta ABP serão armazenados em um vetor numerado de 1 a 7, seguindo estas regras:

a. a raiz sempre ficará na posição 1 do vetor;

b. um nó filho na subárvore esquerda receberá o dobro do valor da posição do seu pai; e

c. um nó filho na subárvore direita receberá o dobro do valor da posição de seu pai acrescido de 1.

O vetor resultante de 1 a 7 será, correta e respectivamente:

 

Provas

Questão presente nas seguintes provas
2324219 Ano: 2022
Disciplina: TI - Banco de Dados
Banca: FCC
Orgão: TRT-19
Provas:

Considere os dados abaixo relativos a um método hashing.

chave

hash (chave)
Carlos 6
Maria 2
Fernando 6

Luísa

1

Adriano

1

Jorge

7

Pedro

2
vetor

1

2

3

4

5

6

7

8

Luísa

Maria
Adriano

Carlos

Fernando

Com base no método apresentado acima e na sua continuação, é correto afirmar que

 

Provas

Questão presente nas seguintes provas
2324218 Ano: 2022
Disciplina: TI - Organização e Arquitetura dos Computadores
Banca: FCC
Orgão: TRT-19
Provas:

Considere que um método de ordenação tenha seu desempenho baseado no número de comparações que realiza para ordenar um vetor com N elementos em ordem crescente. Este método apresenta o seguinte resultado no melhor caso (NCmelhor), no caso médio (NCmédio) e no pior caso (NCpior):

NCmelhor = N-1
NCmédio ≅ (N*(N-1))/4 - 1/2
NCpior ≅ (N*(N-1)-1)/2

Com base nestes resultados, é correto afirmar que o método

 

Provas

Questão presente nas seguintes provas
2324217 Ano: 2022
Disciplina: TI - Organização e Arquitetura dos Computadores
Banca: FCC
Orgão: TRT-19
Provas:

Em um processador, o tempo T gasto no processamento de M instruções em um pipeline com K estágios, sendo M muito maior que K, e tempo de ciclo de máquina igual a t, é dado por: T = M * t.

Considere que programa tem 1.000.000 (M) de instruções. Em uma arquitetura sem pipeline, o tempo médio de execução de cada instrução (t1) é 6,5 ns. Nesta arquitetura, o tempo gasto no processamento das M instruções é: T1 = 6,5 ns * 1.000.000 ≅ 6,5 ms. O ganho (T1/T2) na execução deste programa em um processador com pipeline de 5 estágios com ciclo de 2 ns (t2) é:

 

Provas

Questão presente nas seguintes provas
2324216 Ano: 2022
Disciplina: TI - Organização e Arquitetura dos Computadores
Banca: FCC
Orgão: TRT-19
Provas:

Os processadores utilizam, para realizar a aritmética computacional de números inteiros, a representação de ponto fixo. Considerando o número 1010, cuja representação binária com 8 bits é 00001010, é correto afirmar:

 

Provas

Questão presente nas seguintes provas
2324215 Ano: 2022
Disciplina: Legislação dos Tribunais do Trabalho (TST e TRTs)
Banca: FCC
Orgão: TRT-19
Provas:

De acordo com o que estabelece o Regimento Interno do Tribunal Regional do Trabalho da 19a região, compete ao Presidente do Tribunal

 

Provas

Questão presente nas seguintes provas