Foram encontradas 950 questões.
Considere o perfil geotécnico abaixo, localizado na região oeste do estado da Bahia, onde se pretende construir um galpão industrial de dimensões 25 m × 35 m, com carga média de 600 kN por pilar.

Solução técnica e economicamente mais adequada para as fundações do galpão industrial:

Solução técnica e economicamente mais adequada para as fundações do galpão industrial:
Provas
Questão presente nas seguintes provas
Considere as coordenadas longitudinal, radial e tangencial abaixo, para a definição das propriedades da madeira.

A variação dimensional na madeira é caracterizada pelas propriedades de retração e inchamento que acontecem em diferentes proporções nas direções principais de ortotropia, sendo praticamente desprezíveis

A variação dimensional na madeira é caracterizada pelas propriedades de retração e inchamento que acontecem em diferentes proporções nas direções principais de ortotropia, sendo praticamente desprezíveis
Provas
Questão presente nas seguintes provas
A análise granulométrica conjunta de uma amostra de solo residual coletada próximo ao município de Camaçari-BA resultou na curva de distribuição granulométrica a seguir:

A fração textural presente em maior porcentagem na amostra analisada é de

A fração textural presente em maior porcentagem na amostra analisada é de
Provas
Questão presente nas seguintes provas
Considere a tabela abaixo.

Para o levantamento de uma poligonal aberta localizada entre as estacas 2 e 5, o azimute à direita na estaca 4, no sentido vante, é

Para o levantamento de uma poligonal aberta localizada entre as estacas 2 e 5, o azimute à direita na estaca 4, no sentido vante, é
Provas
Questão presente nas seguintes provas
Considere a ligação metálica composta por duas cantoneiras L50 × 50 × 6 ligadas a uma chapa de nó de treliça por parafusos com 1,0 cm2 de área da seção transversal.

As cantoneiras comprimida e tracionada estão submetidas às forças axiais de 96 kN e 120 kN, respectivamente. A tensão de cisalhamento nos parafusos da cantoneira comprimida, em MPa, é

As cantoneiras comprimida e tracionada estão submetidas às forças axiais de 96 kN e 120 kN, respectivamente. A tensão de cisalhamento nos parafusos da cantoneira comprimida, em MPa, é
Provas
Questão presente nas seguintes provas
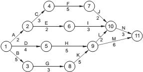
Considere o cronograma PERT-CPM de uma obra de construção civil.

No cronograma PERT-CPM, as letras indicam as atividades cujos tempos, em dias, estão indicados abaixo das letras. A folga possível no caminho das atividades A, C, F, J e N, em dias, é

No cronograma PERT-CPM, as letras indicam as atividades cujos tempos, em dias, estão indicados abaixo das letras. A folga possível no caminho das atividades A, C, F, J e N, em dias, é
Provas
Questão presente nas seguintes provas
- Gerenciamento, Planejamento e Controle de Obras
- Orçamento no Planejamento e Controle de Obras na Engenharia Civil
Atenção: Considere a seguinte composição de custos para a questão.
Assentamento de um metro quadrado de piso cerâmico esmaltado liso (20 × 20) cm
Insumo Unidade Quantidade Custo unitário (R$)
Ladrilhista h 0,40 9,00
Servente   h 0,50 6,80
Argamassa pré- fabricada  kg  5,00 0,56
Argamassa pré-fabricada
para rejuntamento kg 0,45 2,00
Cerâmica esmaltada lisa
(20 × 20) cm m2 1,10 33,00
Para o planejamento das equipes de trabalho e da planilha de serviço, o tempo para a execução do assentamento de 186 m2 de piso cerâmico esmaltado liso, 20 cm × 20 cm, em horas, éAssentamento de um metro quadrado de piso cerâmico esmaltado liso (20 × 20) cm
Insumo Unidade Quantidade Custo unitário (R$)
Ladrilhista h 0,40 9,00
Servente   h 0,50 6,80
Argamassa pré- fabricada  kg  5,00 0,56
Argamassa pré-fabricada
para rejuntamento kg 0,45 2,00
Cerâmica esmaltada lisa
(20 × 20) cm m2 1,10 33,00
Provas
Questão presente nas seguintes provas
O cobrimento nominal mínimo de concreto da armadura, em relação à face do elemento, está associado ao grau de agressividade do ambiente. Para lajes de concreto armado construídas em ambiente com grau de agressividade II, o cobrimento nominal mínimo de concreto, em milímetros, é
Provas
Questão presente nas seguintes provas
O projeto arquitetônico de uma residência prevê uma abertura quadrada em uma laje maciça lisa de concreto, armada nas duas direções, com medidas de 6,0 m por 8,0 m. A dimensão máxima do lado da abertura, em centímetros, é
Provas
Questão presente nas seguintes provas
Ao se projetar estruturas de madeira em regime elástico linear, deve-se conhecer os módulos de elasticidade nas direções paralela (Ew0) e normal (Ew90) às fibras. Na falta da determinação experimental do módulo de elasticidade na direção normal às fibras, é correto utilizar a seguinte relação: Ew90 = 1/x Ew0, onde o valor de X é
Provas
Questão presente nas seguintes provas
Cadernos
Caderno Container