Foram encontradas 541 questões.
A distribuição t de Student com 1 grau de liberdade é equivalente
a uma distribuição
Provas
Questão presente nas seguintes provas
Se uma amostra aleatória simples de tamanho n = 4,
representada por X1, X2, X3, X4, for retirada de uma distribuição
exponencial com média igual a 2, então o valor esperado de X(1) = min{ X1, X2, X3, X4} será igual a
Provas
Questão presente nas seguintes provas
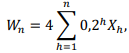
Considerando a combinação linear

na qual X1,…,Xn constitui uma amostra aleatória simples retirada de uma população com média 0 e variância 1,5, a distribuição assintótica limn→∞ Wn segue uma distribuição com média zero e variância igual a
Provas
Questão presente nas seguintes provas
Considere duas variáveis aleatórias X1 e X2, tais que E(X1) = E(X2) = 1 e Var(X1) = Var(X2) = 4 Se X1 e X2 forem variáveis aleatórias independentes, então a
variância do produto X1X2 será igual a
Provas
Questão presente nas seguintes provas
Se for uma variável aleatória contínua cuja função de densidade de probabilidade é
f(x) = 50exp (-100 |x|),
em que x ∈ ℝ, então o valor esperado de X será igual a
Provas
Questão presente nas seguintes provas
Considerando que a distribuição conjunta entre duas variáveis
aleatórias contínuas X e Y é dada pela expressão
f(x,y) = 8xy/3 + x2 ,
se (x,y) ∊ [0,1] x [0,1], e f(x,y) = 0, se (x,y) ∉ [0,1] x [0,1], a probabilidade P(X + Y > 1) é igual a
f(x,y) = 8xy/3 + x2 ,
se (x,y) ∊ [0,1] x [0,1], e f(x,y) = 0, se (x,y) ∉ [0,1] x [0,1], a probabilidade P(X + Y > 1) é igual a
Provas
Questão presente nas seguintes provas
O número N de pessoas que chegam diariamente em uma fila de
atendimento segue uma distribuição de Poisson com média igual
a 500. Se Y representa o número diário dessas pessoas que
recebem atendimento preferencial, e se

em que 0 ≤ y ≤ n, então Var[Y] é igual a
em que 0 ≤ y ≤ n, então Var[Y] é igual a
Provas
Questão presente nas seguintes provas
Considerando que Q20 e Q15 representam variáveis aleatórias
independentes que seguem distribuições qui-quadrado,
respectivamente, com 20 e 15 graus de liberdade, assinale a
opção correta no que se refere à diferença D = Q20 - Q15.
Provas
Questão presente nas seguintes provas
Se X e Y forem duas variáveis aleatórias independentes tais que X~Bernoulli (p = 0,8) e Y~Binomial (n = 3; p = 0,8), então
P(X4 + Y = 1) é igual a
Provas
Questão presente nas seguintes provas
2343334
Ano: 2022
Disciplina: Administração Financeira e Orçamentária
Banca: CESPE / CEBRASPE
Orgão: TRT-8
Disciplina: Administração Financeira e Orçamentária
Banca: CESPE / CEBRASPE
Orgão: TRT-8
Assinale a opção que contém instrumento com atribuição adicional feita à lei de diretrizes orçamentárias (LDO) — cujos regramentos
gerais estão dispostos na CF/1988 — pela Lei Complementar n.º 101/2000 (Lei de Responsabilidade Fiscal).
Provas
Questão presente nas seguintes provas
Cadernos
Caderno Container