Foram encontradas 777 questões.
Três bobinas com reatância indutiva de 30Ω e resistência de 40Ω, individualmente, são ligadas em triângulo a um sistema trifásico de 200V. O fator de potência e o valor de corrente em cada bobina são, respectivamente,
Provas
Questão presente nas seguintes provas
Cogeração é o nome dado a um sistema de eficiência energética elevada, baseada na geração simultânea de energias elétrica e térmica a partir de um combustível renovável ou não renovável. Exemplos de fontes renováveis são: biomassa florestal, bagaço da cana, óleos vegetais, casca de arroz e lixo, enquanto que na categoria das não renováveis estão diesel, óleo combustível, gás natural, carvão mineral e urânio. Duas características da cogeração são
Provas
Questão presente nas seguintes provas
Observe os símbolos gráficos a seguir utilizados em projetos de sistemas de potência.

Os símbolos I e II representam, respectivamente,

Os símbolos I e II representam, respectivamente,
Provas
Questão presente nas seguintes provas
A figura a seguir mostra um circuito trifásico balanceado, com a carga conectada em estrela, onde a medida em um wattímetro monofásico indica 1kW.

A potência total do circuito é igual a
Provas
Questão presente nas seguintes provas
A Ponte de Wheatsthone é utilizada para medir uma resistência desconhecida
e está representada no circuito a seguir.

Sendo
= 200 ohms e
= 400 ohms, ao se ajustar o resistor
em 9kΩ,, ocorre uma deflexão nula no galvanômetro G.
Nessa situação, o valor de
, em kΩ, será igual a
e está representada no circuito a seguir. 
Sendo
= 200 ohms e
= 400 ohms, ao se ajustar o resistor
em 9kΩ,, ocorre uma deflexão nula no galvanômetro G. Nessa situação, o valor de
, em kΩ, será igual a Provas
Questão presente nas seguintes provas
No que diz respeito aos equipamentos elétricos, há vários deles que permitem a realização de medições. Nesse sentido,
I. o Ohmímetro mede a corrente
que o atravessa. Para fazê-lo medir a corrente
que atravessa o resistor é necessário conectá-lo com o resistor, de forma que
II. o Voltímetro mede a tensão
entre dois terminais. Para fazê-lo medir a diferença de potencial
entre os terminais do resistor, é necessário conectá-lo com o resistor, de modo que
Os tipos de conexão em I e II são, respectivamente, em
I. o Ohmímetro mede a corrente
que o atravessa. Para fazê-lo medir a corrente
que atravessa o resistor é necessário conectá-lo com o resistor, de forma que
II. o Voltímetro mede a tensão
entre dois terminais. Para fazê-lo medir a diferença de potencial
entre os terminais do resistor, é necessário conectá-lo com o resistor, de modo que
Os tipos de conexão em I e II são, respectivamente, em
Provas
Questão presente nas seguintes provas
A figura a seguir representa a transformação estrela-triângulo.

Para converter a estrela em triângulo, o valor de R3 é dado pela fórmula
Provas
Questão presente nas seguintes provas
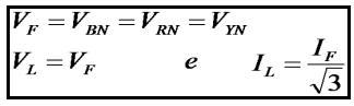
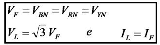
O circuito a seguir representa uma ligação estrela.

Para determinar tensões e correntes de fase e de linha, devem ser usadas as fórmulas

Para determinar tensões e correntes de fase e de linha, devem ser usadas as fórmulas
Provas
Questão presente nas seguintes provas
O circuito representa um divisor de corrente. Observe.

Para uma corrente de 4A no amperímetro, e
= 80 ohms,
= 20 ohms, a corrente
tem valor igual a

Para uma corrente de 4A no amperímetro, e
= 80 ohms,
= 20 ohms, a corrente
tem valor igual aProvas
Questão presente nas seguintes provas
O circuito representa um divisor de tensão. Observe.

Para V = 220V,
= 40 ohms,
= 20 ohms e
= 50 ohms, as tensões sobre
são iguais, respectivamente, a

Para V = 220V,
= 40 ohms,
= 20 ohms e
= 50 ohms, as tensões sobre
são iguais, respectivamente, a Provas
Questão presente nas seguintes provas
Cadernos
Caderno Container