Foram encontradas 40 questões.

Provas

Provas
O número complexo
, nas formas polar e exponencial, é representado por
Provas
- FunçõesFunção Modular
- TrigonometriaRelações Trigonométricas na CircunferênciaSinal das razões trigonométricas 1
O conjunto de todos os números complexos z = x + iy, em que x e y são números reais e i2 = -1 — i é a unidade imaginária —, tais que |z ! 1| = |z + 1|, no sistema de coordenadas cartesianas xOy, representa uma
Provas

Provas
Se f (x - 2) = x3 , então f (x + 5) é igual a
Provas
Se f (x) = ax2 + bx + 12, em que a e b são constantes reais e f (x - 2) - f (x) = -5x + 3, então a + b é igual a
Provas
Acerca de números naturais, assinale a opção correta.
Provas
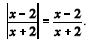
Assinale a opção correspondente ao conjunto dos valores reais de x tais que

Provas
Considere os itens a seguir os quais contêm o resultado de uma operação realizada a partir de dois números irracionais positivos x e y.
I. x + y
II. x - y
III. x × y
IV. 
V. xy
É correto afirmar que, independentemente dos valores de x e y, o resultado da operação é sempre um número irracional
Provas
Caderno Container