Foram encontradas 40 questões.
Com relação à equação diferencial y" + 4y' + 3y = 0, assinale a opção correta.
Provas
, y(0) = 1 é uma função y = f (x) que satisfaz a relaçãoProvas
Se P = (x0 , y0 , z0 ) for um ponto da esfera de equação x2 + y2 + z2 = 4, então a equação do plano tangente à esfera, nesse ponto P, pode ser escrita como
Provas

Provas
Considere o sólido obtido ao girar a região sob o gráfico da função y = x2 , restrita ao intervalo [0, 1], e acima do eixo Ox, de 360º em torno do eixo Ox. Nesse caso, o volume desse sólido é igual a
Provas
Considere que Y(x) seja a primitiva de y = xex tal que Y(0) = 0. Nesse caso, Y(1) é igual a
Provas
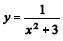
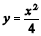
A área da região finita e limitada pelos gráficos das funções
e
é igual a
Provas
O ponto de mínimo da função y = x ln x ocorre no ponto de abcissa
Provas
Para a função y = x3 - 5x + 3 existem dois pontos do gráfico nos quais o ângulo que a reta tangente ao gráfico, nesses pontos, faz com o eixo Ox é igual a 45º. As abcissas desses pontos são, respectivamente,
Provas

Provas
Caderno Container