Magna Concursos

Foram encontradas 440 questões.

1967374 Ano: 2020
Disciplina: Engenharia Civil
Banca: FADESP
Orgão: UEPA
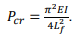
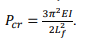
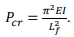
A flambagem é um fenômeno que ocorre em peças esbeltas, quando submetidas a um esforço de compressão axial. Quando a flambagem ocorre na fase elástica do material, a carga crítica (Pcr) é dada pela fórmula de Euler, que é expressa por
 

Provas

Questão presente nas seguintes provas
1967373 Ano: 2020
Disciplina: Engenharia Civil
Banca: FADESP
Orgão: UEPA

Alvenaria estrutural é um sistema de construção em que as paredes da edificação fazem a função estrutural, não sendo necessário o emprego de vigas e pilares para a sustentação do edifício, substituindo o método tradicional de concretagem. Com relação a esse sistema construtivo, pode-se afirmar que

I – os blocos de alvenaria estrutural podem ser de concreto ou cerâmica e são vazados na vertical, não possuindo fundo.

II – a alvenaria estrutural é caracterizada por não ser armada, mesmo para os edifícios altos, devido à capacidade portante dos blocos.

III – há custo reduzido em relação ao sistema convencional de vigas, pilares e lajes.

Estão corretos os itens

 

Provas

Questão presente nas seguintes provas
1967372 Ano: 2020
Disciplina: Engenharia Civil
Banca: FADESP
Orgão: UEPA
O círculo de Mohr correspondente ao estado de tensões em um ponto possui raio igual a 40 MPa e centro no ponto correspondente a 15 MPa. As tensões normaisEnunciado 1967372-1 e de cisalhamento Enunciado 1967372-2atuantes em um plano, passando por esse ponto, cuja normal faz um ângulo de 30º em relação à normal ao plano que define a tensão principal máxima nesse ponto, são
 

Provas

Questão presente nas seguintes provas
1967371 Ano: 2020
Disciplina: Engenharia Civil
Banca: FADESP
Orgão: UEPA
Baseando-se no princípio de curvas de nível para levantamentos topográficos, pode-se afirmar que as imagens a seguir representam, respectivamente: Enunciado 1967371-1
 

Provas

Questão presente nas seguintes provas
1967370 Ano: 2020
Disciplina: Engenharia Civil
Banca: FADESP
Orgão: UEPA
Para a viga biapoiada da figura, submetida a uma carga uniformemente distribuída (q), as tensões normal Enunciado 1967370-1e de cisalhamento Enunciado 1967370-2 máximas, respectivamente, são
Enunciado 1967370-3
 

Provas

Questão presente nas seguintes provas
1967369 Ano: 2020
Disciplina: Engenharia Civil
Banca: FADESP
Orgão: UEPA
Enunciado 1967369-1
Ainda com relação à figura da questão anterior, uma viga de concreto armado foi dimensionada com resistência característica à compressão do concreto - fck de 35 MPa para trabalhar no domínio 3. No entanto, após a execução constatou-se que o fck obtido para o concreto foi de 20 MPa. Neste caso, pode-se concluir que a viga
 

Provas

Questão presente nas seguintes provas
1967368 Ano: 2020
Disciplina: Engenharia Civil
Banca: FADESP
Orgão: UEPA

Considerando-se os domínios de dimensionamento na flexão simples para vigas de concreto armado, pode-se afirmar que,

Enunciado 1967368-1

 

Provas

Questão presente nas seguintes provas
1967367 Ano: 2020
Disciplina: Engenharia Civil
Banca: FADESP
Orgão: UEPA
A NBR 7190/97 – Projeto de estruturas de madeira utiliza o princípio de classes de resistência das propriedades da madeira. Neste caso, pode-se afirmar que as classes de resistência das madeiras têm por objetivo o emprego de madeiras com
 

Provas

Questão presente nas seguintes provas
1967366 Ano: 2020
Disciplina: Engenharia Civil
Banca: FADESP
Orgão: UEPA
O cimento Portland possui quatro fases mineralógicas principais. Pode-se dizer que NÃO é uma fase principal do cimento Portland a
 

Provas

Questão presente nas seguintes provas
1967365 Ano: 2020
Disciplina: Engenharia Civil
Banca: FADESP
Orgão: UEPA
O módulo de elasticidade ou módulo de Young é uma propriedade intrínseca dos materiais amplamente utilizada na engenharia. Com relação a essa propriedade, pode-se afirmar que é uma grandeza obtida a partir de resultados de
 

Provas

Questão presente nas seguintes provas