Foram encontradas 120 questões.
Na figura abaixo, tem-se que as retas AD, BE e CF são retas paralelas:

Considerando que AB e BC medem, respectivamente, 12 cm e 16 cm, qual é, em cm, a medida do segmento EF?
Provas
- Lógica ProposicionalEquivalências Lógicas
- Lógica ProposicionalNegação de Proposições CompostasLeis de De Morgan
- Lógica ProposicionalProposições
Provas
Provas
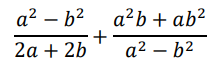
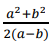
Assinale a alternativa que apresenta a expressão equivalente a:

Provas
A figura abaixo ilustra um triângulo de vértices A, B e C:

Considerando que os lados AB e AC medem, respectivamente, 6 cm e 7 cm, e que o ângulo  mede 45º, qual é, em cm2, a área do triângulo? Considere √2 = 1,4
Provas
Disciplina: Atualidades e Conhecimentos Gerais
Banca: FUNDATEC
Orgão: UERGS
Analise a seguinte manchete, publicada no site gov.br:

O G20, também conhecido como Grupo dos Vinte, nasceu após uma sequência de crises econômicas que assolaram o mundo na década de 1990. No ano de 1999, foi criado um fórum multilateral entre países industrializados e emergentes, composto na época por ministros de finanças e presidentes de bancos centrais, que inicialmente tinha como foco debater questões econômicas e financeiras mundiais. Nesse contexto, em relação ao G20, analise as assertivas abaixo e assinale V, se verdadeiras, ou F, se falsas.
( ) São alguns dos países que integram o grupo: África do Sul, Alemanha, Argentina, Austrália, Brasil, Canadá, Estados Unidos, França, Índia, Itália, Japão, Reino Unido e Rússia.
( ) Tem como um de seus objetivos debater temas para o fortalecimento da economia internacional e desenvolvimento socioeconômico global.
( ) Desempenha um papel importante na definição e no reforço da arquitetura e da governança mundiais em todas as grandes questões econômicas internacionais.
( ) Conta com presidências rotativas anuais.
A ordem correta de preenchimento dos parênteses, de cima para baixo, é:
Provas
Disciplina: Atualidades e Conhecimentos Gerais
Banca: FUNDATEC
Orgão: UERGS
Provas
Disciplina: Atualidades e Conhecimentos Gerais
Banca: FUNDATEC
Orgão: UERGS
Curitibano, apontado como o brasileiro que chegou mais perto de ganhar um Nobel de Física, com 23 anos, ele descobriu o Meson Pí ou Pion, estrutura que explica a estabilidade da matéria, que é tudo que nos rodeia, tem peso e ocupa espaço. A sua importância para a Ciência no Brasil foi tão significativa que o atual sistema de currículos virtual criado e mantido pelo CNPq, que integra as bases de dados curriculares, grupos de pesquisa e instituições em um único sistema de informações, das áreas de Ciência e Tecnologia, possui o seu nome. Diante do exposto, qual é o nome desse físico?
Provas
Leia a seguinte manchete, publicada em 04/07/2024 no site da CNN Brasil:

Nesse contexto, analise as assertivas abaixo, assinalando V, se verdadeiras, ou F, se falsas.
( ) Considera-se intimidação sistemática todo ato de violência física ou psicológica, intencional e repetitivo que ocorre sem motivação evidente, praticado por indivíduo ou grupo, contra uma ou mais pessoas, com o objetivo de intimidá-la ou agredi-la, causando dor e angústia à vítima, em uma relação de desequilíbrio de poder entre as partes envolvidas.
( ) A prática de bullying e cyberbullying não são consideradas crimes, por isso não estão previstas no Código Penal.
( ) O bullying entre mulheres é chamado de wollying, que decorre da união de duas palavras: woman (mulher em inglês) e bullying.
A ordem correta de preenchimento dos parênteses, de cima para baixo, é:
Provas
Estado de calamidade pública trata-se de situação anormal, provocada por desastres, causando danos e prejuízos que impliquem o comprometimento substancial da capacidade de resposta do Poder Público do ente atingido (1ª parte). Situação de emergência é quando há uma situação anormal, provocada por desastres, causando danos e prejuízos que impliquem o comprometimento parcial da capacidade de resposta do Poder Público do ente atingido (2ª parte). A decretação da situação de emergência ou de estado de calamidade pública deve ser feita com o único objetivo de recorrer aos cofres do Estado ou da União para solicitar recursos financeiros (3ª parte).
Quais partes estão corretas?
Provas
Caderno Container