Foram encontradas 60 questões.
Os compostos HNO3, NaOH, CH3OH e CH3NH2 estão sendo estudados em um laboratório de
pesquisa. Foram preparadas soluções aquosas de cada um desses compostos. Para identificar essas
soluções, emprega-se papel de tornassol e medidor de condutividade. A solução que deixa o papel de
tornassol azul e conduz tanta eletricidade quanto uma solução padrão de KCl tem como soluto:
Provas
Questão presente nas seguintes provas
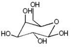
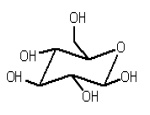
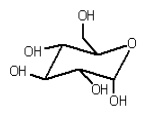
A D(+)-glicose é representada pela estrutura espacial a seguir:

Estudos das estruturas das formas cíclicas (hemiacetal) da D(+)-glicose utilizando análise de raio-X demonstram que as conformações reais dos anéis são as formas em cadeira. Considerando que a forma em cadeira pode ser apresentada como α ou β, é correto afirmar que a estrutura conformacional correspondente à β-D(+)-glicopiranose é:

Estudos das estruturas das formas cíclicas (hemiacetal) da D(+)-glicose utilizando análise de raio-X demonstram que as conformações reais dos anéis são as formas em cadeira. Considerando que a forma em cadeira pode ser apresentada como α ou β, é correto afirmar que a estrutura conformacional correspondente à β-D(+)-glicopiranose é:
Provas
Questão presente nas seguintes provas
Na determinação de íons Fe2+ em uma solução aquosa, uma alíquota de 20mL desta solução reagiu
por completo com 40mL de solução ácida contendo KMnO4 na concentração 0,01mol L-1
, de acordo com
a reação química a seguir:
MnO4 - + 5 Fe2+ + 8 H+ → Mn2+ + 5 Fe3+ + 4 H2O
A concentração de íons Fe2+ na solução aquosa (em mol L -1 ) é igual a:
MnO4 - + 5 Fe2+ + 8 H+ → Mn2+ + 5 Fe3+ + 4 H2O
A concentração de íons Fe2+ na solução aquosa (em mol L -1 ) é igual a:
Provas
Questão presente nas seguintes provas
O ácido acetilsalicílico e o paracetamol, cujas fórmulas estruturais estão representadas a seguir, são
dois dos medicamentos mais utilizados como analgésico e antipirético para redução da febre e para o
alívio sintomático de dores leves a moderadas.

As nomenclaturas do ácido acetilsalicílico e do paracetamol, conforme a União Internacional de Química Pura e Aplicada (IUPAC), correspondem, respectivamente, a:

As nomenclaturas do ácido acetilsalicílico e do paracetamol, conforme a União Internacional de Química Pura e Aplicada (IUPAC), correspondem, respectivamente, a:
Provas
Questão presente nas seguintes provas
Os sólidos iônicos geralmente têm altos pontos de fusão e de ebulição, além de serem quebradiços.
A energia de rede de um sólido iônico é alta quando os íons são pequenos e têm cargas elevadas. Dados
os seguintes sólidos iônicos: MgO, KCl, RbCl e KBr, aquele que apresenta maior ponto de fusão é o:
Provas
Questão presente nas seguintes provas
A droga psicoativa metanfetamina, vendida mediante prescrição médica como o fármaco desoxina,
C10H15N, sofre uma série de reações no organismo, cujo resultado global é a oxidação da metanfetamina
sólida pelo gás oxigênio para produzir um gás, água e ureia (CH4N2O). A equação química balanceada
que representa essa reação corresponde a:
Provas
Questão presente nas seguintes provas
Microplásticos são minúsculos detritos fragmentados de plásticos maiores. São encontrados,
principalmente, em forma de partículas de tamanho inferior a 5mm. A presença de microplásticos no leite
materno, como divulgada na matéria a seguir, tem despertado a atenção de muitos pesquisadores para a
questão dos limites dos polímeros em nossa sociedade.
“Pesquisadores detectaram microplásticos em leite materno pela primeira vez. A descoberta ocorreu em 75% das amostras retiradas de 34 mães saudáveis, uma semana após o parto, em Roma, na Itália. Os resultados foram registrados em 30 de junho na revista Polymers. A pesquisa identificou microplásticos compostos de polietileno, PVC, PET e polipropileno, que estão presentes em embalagens” (Revista Galileu, 10/10/2022, adaptado).
Em relação ao processo industrial de produção do polipropileno, o monômero utilizado e o tipo de reação de polimerização correspondem, respectivamente, a:
“Pesquisadores detectaram microplásticos em leite materno pela primeira vez. A descoberta ocorreu em 75% das amostras retiradas de 34 mães saudáveis, uma semana após o parto, em Roma, na Itália. Os resultados foram registrados em 30 de junho na revista Polymers. A pesquisa identificou microplásticos compostos de polietileno, PVC, PET e polipropileno, que estão presentes em embalagens” (Revista Galileu, 10/10/2022, adaptado).
Em relação ao processo industrial de produção do polipropileno, o monômero utilizado e o tipo de reação de polimerização correspondem, respectivamente, a:
Provas
Questão presente nas seguintes provas
Quando um feixe de raios-X incide na superfície de um cristal a um ângulo θ, parte dele é espalhada
pela camada de átomos da superfície, e a parte do feixe não espalhada penetra na segunda camada de
átomos quando, novamente, uma fração é espalhada, e o restante vai para a terceira camada e assim
sucessivamente. Bragg, em 1912, estudou a difração de raios-X por cristais, determinando suas
condições características. De acordo com a lei de Bragg, para que o efeito da difração de raios-X por
cristais seja observado, é necessário que:
Provas
Questão presente nas seguintes provas
O gás de síntese é uma mistura de CO(g) e H2(g) obtido a partir da oxidação parcial do gás natural.
Com o emprego de catalisadores adequados, o gás de síntese pode ser convertido em uma variedade de
produtos de grande interesse. Nessa conversão, o catalisador tem como função aumentar a velocidade
da reação. É correto afirmar que esse aumento ocorre porque o catalisador cria um caminho alternativo
para a reação com:
Provas
Questão presente nas seguintes provas
Em geral, os organismos vivos mantêm certas características relativamente constantes, como a
temperatura e os níveis de certas substâncias no sangue, por meio do processo de homeostase. A
homeostase não é um equilíbrio verdadeiro, entretanto, responde às mudanças de condições como um
sistema em equilíbrio químico e, portanto, é governada pelo princípio de Le Chatelier. Sabe-se que o
oxigênio no sangue, em sua maior parte, é transportado complexado pela hemoglobina (Hb) de acordo
com o equilíbrio químico a seguir:
Hb(aq) + O2(aq) ⇌ HbO2(aq)
Nesse sentido, alpinistas precisam passar algum tempo em acampamentos a grandes altitudes antes de prosseguir na subida, mantendo assim a homeostase da concentração de oxigênio no sangue, para que:
Hb(aq) + O2(aq) ⇌ HbO2(aq)
Nesse sentido, alpinistas precisam passar algum tempo em acampamentos a grandes altitudes antes de prosseguir na subida, mantendo assim a homeostase da concentração de oxigênio no sangue, para que:
Provas
Questão presente nas seguintes provas
Cadernos
Caderno Container