Magna Concursos

Foram encontradas 70 questões.

851713 Ano: 2016
Disciplina: Física
Banca: DSEA UERJ
Orgão: UERJ
Provas:

Pela turbina de uma hidrelétrica, passam 500 m3 de água por segundo.

A ordem de grandeza do volume de água que passa por essa turbina em 3 h corresponde, em litros, a:

 

Provas

Questão presente nas seguintes provas
850422 Ano: 2016
Disciplina: Inglês (Língua Inglesa)
Banca: DSEA UERJ
Orgão: UERJ
Provas:

THE COST OF BEING HAWAIIAN: DEFENDING OUR IDENTITY

A beautiful Polynesian woman moves her hips from side to side, a flower adorning her ear as her hands glide across her body in harmony with the music. She looks like a photograph come to life. Beside her is a dark and handsome man smiling and playing the ukulele*. He sings through his gigantic smile a beautiful love song to the dancing girl. After a time, the man stops playing and the woman stops dancing. The two stare lovingly into each other’s eyes and jump into their canoe, disappearing into the sunset.

This misconception about the Hawaiian culture has always been around, and although I do not profess to be an expert in Hawaiian studies by any means, I know that these ideas are only cheap imitations and generic stereotypes created more to appeal to tourists than to perpetuate and preserve the Hawaiian way of life. The more people are exposed to these misconceptions, the less they understand the true beauty of the Hawaiian people and the richness of their culture steeped in politics, agriculture, aquaculture, dance, storytelling and an oral tradition that include both extensive genealogies and mythology.

Imagine the reaction of our Hawaiian forefathers if they were to view one of the many dinner/ cocktail shows that litter the pages of our tourist guides. What would they think? Would they proudly applaud our efforts to preserve their contributions to history? Or would they laugh at its absurdity? Is the need to be an economically viable state causing us to compromise our true identity as Hawaiians in exchange for the luxuries that come with being a tourist destination?

As a boy, I took trips to the Big Island. Visiting there reminded me that Hawaiians had their own place in history and a proper culture complete with its own form of government, its own form of religion and its own legal system. These discoveries about my heritage filled me with equal portions of pride and wonderment.

The most concerning thing to me as a Hawaiian is the growing commercialization of our culture and its possible consequences. Simplifying the culture merely for financial gain may actually cost Hawaiians more than they think. I do not dispute the fact that the tourism industry brings in much needed revenue to the state, but how long can we tolerate the integrity of our culture being violated simply to earn money? How much longer can we sell these fabricated ideas of the islands before they imbue themselves upon the cultural consciousness of all Hawaiians?

I am not suggesting that we shut down every hula show that makes a profit off of reinforcing stereotypes, but that Hawaiians as a people with a rich heritage and a long cultural history need to be more active in understanding our cultural identity. As western influence grows, we need to take steps to preserve our culture so that our children don’t grow up believing the stereotypes that are so readily conditioned into the mind of every tourist. Tourism will not go away, but we need to take steps as Hawaiians to ensure our traditions are not swallowed up by these superficial shadows.

pupuaoewa.org

*ukulele − Hawaiian musical instrument

In the last paragraph, the author refers to the hula show to reinforce the following idea:

 

Provas

Questão presente nas seguintes provas
850399 Ano: 2016
Disciplina: História
Banca: DSEA UERJ
Orgão: UERJ
Provas:

Ampliação da ONU

enunciado 2032831-1

A variação da curva do gráfico entre os anos de 1950 e 1975 é explicada pelo seguinte evento histórico:

 

Provas

Questão presente nas seguintes provas
848078 Ano: 2016
Disciplina: Espanhol (Língua Espanhola)
Banca: DSEA UERJ
Orgão: UERJ
Provas:

Cultura e identidad: Mexicanos en la era global

En gran número de países del mundo, la cultura y la identidad de los mexicanos es reconocida por su originalidad. Se forjó esta originalidad en el crisol de las altas culturas mesoamericanas y en el diálogo con una gran diversidad de culturas del mundo.

Lo que marca en especial la cultura de México es que, a lo largo del siglo XX, la mexicanidad, como voluntad colectiva nacional, forma parte de la combinatoria tanto del nacionalismo como del cosmopolitismo de diversas fuentes políticas. Se basa esta mexicanidad tanto en la fuerza de compartir una historia que nos hiere, como en el deseo de comunicar e intercambiar diversidades, lo que explica la gran creatividad cultural de los mexicanos.

Recordemos que México es el cuarto país del mundo en biodiversidad y, no por coincidencia, es también uno de los diez primeros en densidad cultural. Hasta hace diez años, era también uno de los diez principales en la producción de artesanías y en innovaciones museológicas y culturales.

Sin embargo, el crecimiento exponencial de las telecomunicaciones, los audiovisuales e Internet, características de la nueva globalidad, están creando nuevas homogeneizaciones culturales y, al mismo tiempo, nuevas diversidades. Como reacción ha surgido con gran fuerza una voluntad de recrear la identidad y en México, como en otros países, se hace evidente una gran efervescencia en la creación de nuevos códigos identitarios, sobre todo entre los jóvenes, digamos, con el rock en náhuatl y la renovación del ritmo huapango en el ir y venir de Veracruz a Los Ángeles. Vale mencionar también, en el arte postobjetual, el performance y el videoarte.

Los mexicanos toman nuevas posiciones en el marco de la pantalla comunicacional global y se vuelven hacia lo que más comparten: la cultura, ya que ella hace visibles, tangibles e intangibles, sus memorias, sus deseos y sus búsquedas de futuro. Hoy es vital afirmar que la cultura no está conformada por objetos, sino por formas de relación en las que interviene la libre decisión de las personas de asumir, portar y practicar un comportamiento cultural.

Si no se considera la cultura como este acto de libre decisión, se niega el derecho de las personas de cambiar las vetas de su propia cultura a través de la originalidad y la creatividad. Sin embargo, esas vetas tienen siempre un designio político, entendido éste como la conciencia de saber que se necesitan alianzas y lealtades para asegurar la sobrevivencia de todos. Esta es actualmente la frontera extrema que impone el planeta, a partir de la cual hay que hacer un camino de vuelta para recrear la política y la cultura. Es decir, la relación con los demás y con nosotros mismos.

En México, a lo largo del siglo XX, se fortaleció una cultura de libertad que permitió la convivencia de ideologías y doctrinas de gran diversidad. Hoy amenaza esa cultura el regreso, en gran medida soterrado en el pasado, de acciones para imponer un orden ultraconservador que, además, es ya imposible en la etapa de evolución actual del mundo.

revistadelauniversidad.unam.mx

la cultura no está conformada por objetos, sino por formas de relación

El término subrayado introduce una idea de:

 

Provas

Questão presente nas seguintes provas
847749 Ano: 2016
Disciplina: Física
Banca: DSEA UERJ
Orgão: UERJ
Provas:

Utilize as informações a seguir para responder a questão.

Um peixe ósseo com bexiga natatória, órgão responsável por seu deslocamento vertical, encontra-se a 20 m de profundidade no tanque de um oceanário. Para buscar alimento, esse peixe se desloca em direção à superfície; ao atingi-la, sua bexiga natatória encontra-se preenchida por 112 mL de oxigênio molecular.

O deslocamento vertical do peixe, para cima, ocorre por conta da variação do seguinte fator:

 

Provas

Questão presente nas seguintes provas
843343 Ano: 2016
Disciplina: Português
Banca: DSEA UERJ
Orgão: UERJ
Provas:

Nosso pensamento, como toda entidade viva, nasce para se vestir de fronteiras. Essa invenção é uma espécie de vício de arquitetura, pois não há infinito sem linha do horizonte. A verdade é que a vida tem fome de fronteiras. Porque essas fronteiras da natureza não servem apenas para fechar. Todas as membranas orgânicas são entidades vivas e permeáveis. São fronteiras feitas para, ao mesmo tempo, delimitar e negociar: o “dentro” e o “fora” trocam-se por turnos.A)

Um dos casos mais notáveis na construção de fronteiras acontece no mundo das aves. É o caso do nosso tucano, o tucano africano, que fabrica o ninho a partir do oco de uma árvore. Nesse vão, a fêmea se empareda literalmente, erguendo, ela e o macho, um tapume de barro. Essa parede tem apenas um pequeno orifício, ele é a única janela aberta sobre o mundo. Naquele cárcere escuro, a fêmea arranca as próprias penas para preparar o ninho das futuras crias. Se quisesse desistir da empreitada, ela morreria, sem possibilidade de voar. Mesmo neste caso de consentida clausura, a divisória foi inventada para ser negada.

Mas o que aqueles pássaros construíram não foi uma parede: foi um buraco.B) Erguemos paredes inteiras como se fôssemos tucanos cegos. De um e do outro lado há sempre algo que morre, truncado do seu lado gêmeo. Aprendemos a demarcarmo-nos do Outro e do Estranho como se fossem ameaças à nossa integridade. Temos medo da mudança, medo da desordem, medo da complexidade. Precisamos de modelos para entender o universo (que é, afinal, um pluriverso ou um multiverso), que foi construído em permanente mudança, no meio do caos e do imprevisível.

A própria palavra “fronteira” nasceu como um conceito militar, era o modo como se designava a frente de batalha. Nesse mesmo berço aconteceu um fato curioso: um oficial do exército francês inventou um código de gravação de mensagens em alto-relevo.C) Esse código servia para que, nas noites de combate, os soldados pudessem se comunicar em silêncio e no escuro. Foi a partir desse código que se inventou o sistema de leitura Braille. No mesmo lugar em que nasceu a palavra “fronteira” sucedeu um episódio que negava o sentido limitador da palavra.

A fronteira concebida como vedação estanque tem a ver com o modo como pensamos e vivemos a nossa própria identidade. Somos um pouco como a tucana que se despluma dentro do escuro: temos a ilusão de que a nossa proteção vem da espessura da parede.D) Mas seriam as asas e a capacidade de voar que nos devolveriam a segurança de ter o mundo inteiro como a nossa casa.

MIA COUTO

Adaptado de fronteiras.com, 10/08/2014.

Os dois-pontos podem delimitar uma relação entre uma expressão e a especificação de seu sentido.

Observa-se esse uso dos dois-pontos no trecho apresentado em:

 

Provas

Questão presente nas seguintes provas
841346 Ano: 2016
Disciplina: Geografia
Banca: DSEA UERJ
Orgão: UERJ
Provas:

enunciado 2031728-1

O Índice de Progresso Social (IPS) varia de 0 a 100 e é calculado levando em consideração 36 indicadores. Entre eles, estão acesso a esgoto sanitário e água canalizada, mobilidade, taxa de homicídios, incidência de dengue, mortalidade por tuberculose e HIV, homicídios de jovens negros e frequência no ensino superior. Não são levadas em conta variáveis econômicas, como renda. Segundo Sérgio Bessermann, presidente do Instituto Pereira Passos, o índice é uma ferramenta que ajuda a acompanhar as mudanças e a direcionar as políticas de governo.

Adaptado de O Globo, 17/05/2016.

A análise do mapa e dos dados aponta tanto para aspectos sociais que se modificaram quanto para aqueles que permaneceram, no que diz respeito a bairros e regiões do município do Rio de Janeiro.

Um dos aspectos que explica a situação das regiões administrativas com os mais baixos índices de progresso social é:

 

Provas

Questão presente nas seguintes provas
841178 Ano: 2016
Disciplina: Matemática
Banca: DSEA UERJ
Orgão: UERJ
Provas:

Um anel contém 15 gramas de ouro 16 quilates. Isso significa que o anel contém 10 g de ouro puro e 5 g de uma liga metálica. Sabe-se que o ouro é considerado 18 quilates se há a proporção de 3 g de ouro puro para 1 g de liga metálica.

Para transformar esse anel de ouro 16 quilates em outro de 18 quilates, é preciso acrescentar a seguinte quantidade, em gramas, de ouro puro:

 

Provas

Questão presente nas seguintes provas
838747 Ano: 2016
Disciplina: Química
Banca: DSEA UERJ
Orgão: UERJ
Provas:

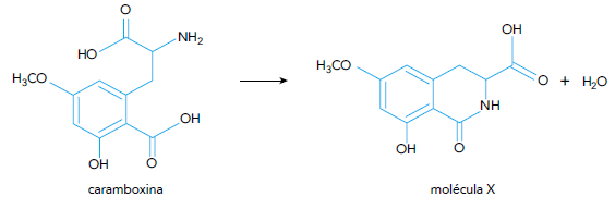
Em determinadas condições, a toxina presente na carambola, chamada caramboxina, é convertida em uma molécula X sem atividade biológica, conforme representado abaixo.

enunciado 2031248-1

Nesse caso, dois grupamentos químicos presentes na caramboxina reagem formando um novo grupamento.

A função orgânica desse novo grupamento químico é denominada:

 

Provas

Questão presente nas seguintes provas
1470073 Ano: 2016
Disciplina: Química
Banca: DSEA UERJ
Orgão: UERJ
Provas:

Indicadores ácido-base são substâncias que, ao serem adicionadas a soluções aquosas, modificam sua coloração de acordo com o pH do meio. Observe a seguir a variação de cor proporcionada por quatro indicadores em função do pH.

enunciado 2048065-1

Considere o preparo em laboratório de duas soluções aquosas de NaOH com concentrações de 10−2 mol.L-1 e 10−6 mol.L-1, a 25 ºC.

É possível diferenciar visualmente essas soluções com a adição do seguinte indicador:

Questão Anulada

Provas

Questão presente nas seguintes provas