Foram encontradas 60 questões.
A prevenção de acidentes em um ambiente de laboratório de
química é de extrema importância para garantir a segurança
dos trabalhadores, para proteger o meio ambiente e para
preservar a integridade dos experimentos e das instalações.
Laboratórios de química, frequentemente, lidam com
substâncias químicas perigosas, com equipamentos
complexos e com processos que envolvem riscos
significativos, se não forem manuseados corretamente. A
implementação de práticas de segurança rigorosas incluindo o
uso adequado de Equipamentos de Proteção Individual (EPIs),
a realização de treinamentos regulares sobre procedimentos
de segurança, e a conscientização constante sobre os riscos
associados às atividades laboratoriais é essencial para
minimizar a ocorrência de acidentes.
Com relação aos procedimentos de primeiros-socorros, assinale a alternativa correta.
Com relação aos procedimentos de primeiros-socorros, assinale a alternativa correta.
Provas
Questão presente nas seguintes provas
O espectro de ressonância magnética nuclear (RMN 1H), exibido na figura, foi obtido a partir de um composto com fórmula molecular
C4H8O.

Com base no espectro, é possível afirmar que esse composto é

Com base no espectro, é possível afirmar que esse composto é
Provas
Questão presente nas seguintes provas
A cromatografia gasosa é utilizada para separar e detectar compostos orgânicos em uma mistura. A separação desses compostos
depende da diferença de volatilidade entre eles, propriedade esta que é determinada pelas forças intermoleculares, que mantêm as
moléculas unidas, e pela massa de cada composto. O cromatograma da figura foi obtido por meio da análise de uma mistura contendo
quantidades equimolares de 1-pentanol, de hexano, de ácido butanoico e de pentanal (não necessariamente nessa ordem), e os picos
referentes aos quatro compostos foram numerados de 1 a 4.

Com base nas informações supracitadas, os picos que aparecem no cromatograma correspondem a:

Com base nas informações supracitadas, os picos que aparecem no cromatograma correspondem a:
Provas
Questão presente nas seguintes provas
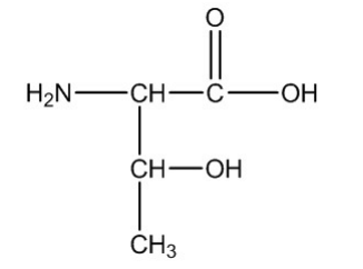
O aminoácido essencial treonina, cuja estrutura é demostrada,
possui três diferentes funções orgânicas em sua estrutura.
O nome, segundo a IUPAC, desse composto é
O nome, segundo a IUPAC, desse composto é
Provas
Questão presente nas seguintes provas
As soluções tampões desempenham um papel vital em
ambientes de laboratório de química devido à sua capacidade de
manter o pH estável em reações e em processos químicos. Essa
estabilidade é crucial para a precisão e a reprodutibilidade dos
experimentos, especialmente em análises bioquímicas, em
sínteses orgânicas, e em processos industriais. Soluções
tampões são essenciais para garantir que as condições de pH
permaneçam constantes, mesmo quando pequenas quantidades
de ácidos ou de bases são adicionadas, prevenindo variações
que poderiam comprometer os resultados experimentais. Para
técnicos de laboratório, a compreensão e a correta preparação
de soluções tampões são habilidades fundamentais que
contribuem para a integridade e para a eficiência das práticas
laboratoriais. Sobre solução tampão, assinale a alternativa
correta.
Provas
Questão presente nas seguintes provas
A massa atômica é a massa de um átomo em unidades de
massa atômica (u). Essa unidade de massa atômica é definida
como a massa igual a 1/12 da massa de um átomo de
carbono-12. Assim, convencionou-se nominar a massa atômica
do carbono-12 como 12 u, sendo, portanto, um padrão para a
medida das massas atômicas de outros elementos. Entretanto, é
observado um valor de massa atômica para o carbono de 12,01
u e não 12,00 u na tabela periódica.
Essa diferença de massa atômica para o carbono pode ser atribuída à
Essa diferença de massa atômica para o carbono pode ser atribuída à
Provas
Questão presente nas seguintes provas
Os bromoalcanos isoméricos foram analisados por ressonância
magnética nuclear (RMN 1H).
Dadas as afirmativas referentes aos espectros obtidos dos bromoalcanos isoméricos,
I. O espectro obtido a partir do composto 1 apresenta um único sinal.
II. O composto 2 gera um espectro que contém quatros sinais distintos.
III. A análise da amostra contendo o 2-bromobutano ( composto 3) mostra dois multipletos: um dupleto e um tripleto.
IV. O hidrogênio metínico do composto 2 gera um tripleto no espectro.
verifica-se que está/ão correta/s
Dadas as afirmativas referentes aos espectros obtidos dos bromoalcanos isoméricos,
I. O espectro obtido a partir do composto 1 apresenta um único sinal.
II. O composto 2 gera um espectro que contém quatros sinais distintos.
III. A análise da amostra contendo o 2-bromobutano ( composto 3) mostra dois multipletos: um dupleto e um tripleto.
IV. O hidrogênio metínico do composto 2 gera um tripleto no espectro.
verifica-se que está/ão correta/s
Provas
Questão presente nas seguintes provas
Você precisa preparar 100 mL de uma solução estoque de NaOH
com concentração de 3 M, e, a partir dessa preparação, 1 L de
uma solução de NaOH com concentração de 60 mM. Para isso, a
massa (em g) de NaOH necessária para preparar a primeira
solução (3 M) e o volume (em mL) da solução a 3 M necessário
para preparar a solução a 60 mM são, respectivamente,
Dado: massa molar do NaOH = 40 g/mol.
Dado: massa molar do NaOH = 40 g/mol.
Provas
Questão presente nas seguintes provas
Os cianetos são sais extremamente tóxicos e podem levar à
morte em caso de contaminação. Um composto muito usado em
misturas de fases móveis em cromatografia líquida que não pode
ser submetido à incineração como forma de disposição final, pois
sua degradação térmica leva à formação de cianeto. Soluções
contendo esse composto passa por um pré-tratamento antes do
descarte.
O composto em questão e o tratamento utilizado antes de seu descarte são, respectivamente,
O composto em questão e o tratamento utilizado antes de seu descarte são, respectivamente,
Provas
Questão presente nas seguintes provas
Uma mistura pode ser classificada como uma combinação de
duas ou mais substâncias que não reagem entre si, mantendo as
suas identidades e as suas propriedades individuais. Essas
diferem das substâncias puras por não possuírem uma
composição fixa e constante. Exemplos comuns de misturas
incluem o leite, que é uma combinação de carboidratos,
gorduras, proteínas e sais minerais, e o bronze, que é uma liga
metálica formada pela combinação de cobre e estanho.
De acordo com essas informações, assinale a alternativa que é um exemplo de mistura química.
De acordo com essas informações, assinale a alternativa que é um exemplo de mistura química.
Provas
Questão presente nas seguintes provas
Cadernos
Caderno Container