Magna Concursos

Foram encontradas 50 questões.

443513 Ano: 2019
Disciplina: TI - Desenvolvimento de Sistemas
Banca: UFC
Orgão: UFC
Provas:

Analise o cenário a seguir.

Um técnico de TI está desenvolvendo uma aplicação onde existe um objeto X que contém informações importantes para outros objetos, de forma de que quando o valor do objeto X mudar, os outros objetos deverão ser notificados dessa alteração. Além disso, ele precisa especificar uma sequência de etapas em uma classe, onde algumas dessas etapas deverão ser delegadas para as subclasses.

Quais os dois padrões de projetos que podem ser empregados nesse cenário?

 

Provas

Questão presente nas seguintes provas
443511 Ano: 2019
Disciplina: TI - Desenvolvimento de Sistemas
Banca: UFC
Orgão: UFC
Provas:

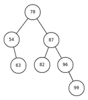
Considere a árvore AVL abaixo.

Enunciado 443511-1

Marque o item que contém o percurso em pré-ordem após a inserção de um nó contendo o valor 100.

 

Provas

Questão presente nas seguintes provas
443510 Ano: 2019
Disciplina: TI - Desenvolvimento de Sistemas
Banca: UFC
Orgão: UFC
Provas:
Uma das formas de melhorar o tempo de resposta no acesso a uma página Web é através do uso de cache. Qual dos recursos abaixo é utilizado pelo HTTP para identificar se a informação existente na cache está atualizada?
 

Provas

Questão presente nas seguintes provas
443489 Ano: 2019
Disciplina: TI - Desenvolvimento de Sistemas
Banca: UFC
Orgão: UFC
Provas:
O HTML 5 trouxe melhorias nos elementos de formulário, entre eles novos valores para o campo “type” da tag <input>. Qual valor de “type” fornece o controle da inserção apenas do mês e ano, sem considerar o fuso horário?
 

Provas

Questão presente nas seguintes provas
443488 Ano: 2019
Disciplina: TI - Desenvolvimento de Sistemas
Banca: UFC
Orgão: UFC
Provas:
Sobre as características da linguagem XML (eXtensible Markup Language), é correto afirmar:
 

Provas

Questão presente nas seguintes provas
443487 Ano: 2019
Disciplina: TI - Desenvolvimento de Sistemas
Banca: UFC
Orgão: UFC
Provas:
Uma das formas de desenvolver uma página dinâmica é através do uso de AJAX (Asynchronous JavaScript and XML), onde ele é utilizado para atualizar apenas parte da página Web. Sobre o AJAX, é correto afirmar:
 

Provas

Questão presente nas seguintes provas
443486 Ano: 2019
Disciplina: TI - Desenvolvimento de Sistemas
Banca: UFC
Orgão: UFC
Provas:
A linguagem JSP (Java Server Pages) foi criada para possibilitar a construção de páginas dinâmicas. Sobre essa linguagem, é correto afirmar:
 

Provas

Questão presente nas seguintes provas
443485 Ano: 2019
Disciplina: TI - Desenvolvimento de Sistemas
Banca: UFC
Orgão: UFC
Provas:

Analise o Backing Bean do JSF abaixo.

Enunciado 443485-1

Qual a forma correta de recuperar o valor da variável “nome” do Managed Bean ServidorMBean?

 

Provas

Questão presente nas seguintes provas
443484 Ano: 2019
Disciplina: TI - Desenvolvimento de Sistemas
Banca: UFC
Orgão: UFC
Provas:
Uma das fases do ciclo de vida do JSF é a “Update Model Values”. Essa fase é responsável por:
 

Provas

Questão presente nas seguintes provas
443483 Ano: 2019
Disciplina: TI - Desenvolvimento de Sistemas
Banca: UFC
Orgão: UFC
Provas:
Qual a função da linguagem JavaScript responsável por avaliar um texto contendo um código JavaScript passado como parâmetro e retornar o resultado da execução?
 

Provas

Questão presente nas seguintes provas