Foram encontradas 50 questões.
Sejam X1, X2, ..., Xn uma amostra aleatória de X, com função de densidade de probabilidade fx(x) =
Assim, uma estatística suficiente para θ é
Provas
Questão presente nas seguintes provas
O peso do prato feito no restaurante universitário segue uma distribuição normal com média 620 g e variância 121 g. Considerando que P (Z ≤ 1,65) = 0,95, para Z ∼ N (0,1), o tamanho da amostra necessária, para que se tenha P (618 <
< 622) = 0,90, é
Provas
Questão presente nas seguintes provas
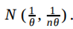
Sejam X1, X2, ..., Xn uma amostra aleatória
de isto é, fx(x) =
Para n suficientemente grande, a distribuição amostral de
é:
Provas
Questão presente nas seguintes provas
Sejam X1, X2, ..., Xn uma amostra aleatória de X, com função densidade de probabilidade
o estimador de momentos de θ obtido pelo(s) momentos(s) não central(is) é
Provas
Questão presente nas seguintes provas
Uma amostra aleatória, (x1, x2, x3, x4, x5) = (1,0,1,01), foi observada de uma variável aleatória X com função de probabilidade,
Para 0 < θ < 1, a estimativa de máxima verossimilhança de θ é
Para 0 < θ < 1, a estimativa de máxima verossimilhança de θ é
Provas
Questão presente nas seguintes provas
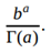
Seja X uma variável aleatória contínua com distribuição Gamada (a,b) com função de
densidade de probabilidade dada por
Sendo a > 0 e b > 0 constantes reais e
Sendo a > 0 e b > 0 constantes reais e
Provas
Questão presente nas seguintes provas
O tempo de prova da disciplina de probabilidade básica pode ser modelado por uma variável aleatória com distribuição Normal, com média de 90 minutos e desvio padrão de10 minutos. Considerando que P (Z ≤ 1,65) = 0,95, para
o tempo de prova necessário para que 95% dos alunos finalizem a atividade em minutos é, aproximadamente,
Provas
Questão presente nas seguintes provas
A Figura, abaixo, representa o gráfico da função de densidade de probabilidade de uma
variável aleatória contínua X, sendo k uma constante real.
Função de densidade de probabilidade da variável aleatória X
O valor esperado de X é
Função de densidade de probabilidade da variável aleatória X
O valor esperado de X é
Provas
Questão presente nas seguintes provas
Carcará resolve disputar um jogo de apostas que consiste em lançar uma moeda três
vezes. Porém, ele não sabe que a probabilidade de coroa é quatro vezes a probabilidade
de cara. O jogo funciona da seguinte forma: sempre que Carcará lançar a moeda, ele
paga R$ 5,00; se sair apenas uma face cara, Carcará ganha R$ 5,00; se saírem
exatamente duas faces caras, Carcará ganha R$ 10,00; se saírem três faces caras,
Carcará ganha R$ 15,00; e se não sair nenhuma face cara, Carcará não ganha nada.
Sendo assim, o resultado médio de Carcará nesse jogo é
Provas
Questão presente nas seguintes provas
Uma variável aleatória X tem a seguinte função de distribuição acumulada:

Sendo assim, a variância de Y = 3X - 1 é igual a
Provas
Questão presente nas seguintes provas
Cadernos
Caderno Container