Foram encontradas 59 questões.
Ao usar o correio eletrônico (e-mail), uma pessoa fica exposta a uma série de riscos de segurança da informação. Um desses riscos é denominado phishing. A opção que REPRESENTA um caso de phishing é
Provas
Questão presente nas seguintes provas
Considerando o uso de um pen drive (dispositivo de armazenamento de dados USB), devidamente formatado com um sistema de arquivos FAT (32 bits) no Ubuntu Linux 14.04.1 LTS, é INCORRETO afirmar:
Provas
Questão presente nas seguintes provas
Ao escrever uma mala direta, em vez de usar a forma genérica “Prezado(a) senhor(a)”, é possível personalizar o texto para “Prezado senhor” ou “Prezada senhora” caso a base de dados possua um campo “sexo”. No Microsoft Word 2013, a regra que permite essa personalização é
Provas
Questão presente nas seguintes provas
Considerando o Windows 7, a opção que NÃO promove uma maior segurança dos dados armazenados em seu computador é
Provas
Questão presente nas seguintes provas
Uma nova planilha foi criada, utilizando-se o LibreOffice Calc 4.2, contendo nomes de alunos na coluna A, notas obtidas em três provas nas colunas B, C e D, média aritmética simples das notas das provas na coluna E e a nota final do curso na coluna F, como mostra a figura abaixo.

Deseja-se que a nota final do curso seja um valor inteiro ou uma fração de 0,5 calculado a partir da média, arredondando-a para o grau inferior se sua parte decimal for menor que 0,25 ou se estiver entre 0,5 e 0,75; e arredondando para o grau superior se sua parte decimal for maior que ou igual a 0,75 ou se estiver entre 0,25 e 0,5. A coluna F na figura acima mostra exemplos desse arredondamento.
A fórmula que deve ser inserida na célula F2 para cálculo automático da nota final, de modo que as células F3, F4 e F5 possam também ser calculadas a partir de preenchimento automático de células adjacentes, resultando nos valores exibidos na figura acima, é

Deseja-se que a nota final do curso seja um valor inteiro ou uma fração de 0,5 calculado a partir da média, arredondando-a para o grau inferior se sua parte decimal for menor que 0,25 ou se estiver entre 0,5 e 0,75; e arredondando para o grau superior se sua parte decimal for maior que ou igual a 0,75 ou se estiver entre 0,25 e 0,5. A coluna F na figura acima mostra exemplos desse arredondamento.
A fórmula que deve ser inserida na célula F2 para cálculo automático da nota final, de modo que as células F3, F4 e F5 possam também ser calculadas a partir de preenchimento automático de células adjacentes, resultando nos valores exibidos na figura acima, é
Provas
Questão presente nas seguintes provas
- Estruturas
- Resistência dos Materiais e Análise EstruturalEstruturas de Concreto
- Normas e Legislações
De acordo com a Norma ABNT NBR 12655:2006, no início da obra, ou em qualquer outra circunstância em que não se conheça o valor do desvio-padrão sd, deve-se adotar para o cálculo da resistência de dosagem, para uma condição de preparo C, o valor de sd igual a
Provas
Questão presente nas seguintes provas
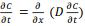
A 2ª Lei de Fick utilizada para modelar a penetração de íons cloreto em estruturas de concreto armado, sendo C a concentração de cloretos, D o coeficiente de difusão de cloretos e x a profundidade, é expressa pela equação
Provas
Questão presente nas seguintes provas
Tuutti, em 1982, propôs um modelo matemático para estimar a profundidade de carbonatação do concreto. Sendo ec = espessura carbonatada em mm; k = coeficiente dependente da difusividade efetiva do CO2 através do concreto; e t o tempo em meses ou anos, o modelo é expresso pela fórmula
Provas
Questão presente nas seguintes provas
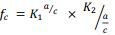
Duff Abrams descobriu que existe uma correlação entre relação água/cimento e resistência do concreto, popularmente conhecida como Lei de Abrams. Considerando que K1 e K2 são constantes empíricas, a/c é a relação água/cimento e fc é a resistência do concreto, identifique a Lei de Abrams:
Provas
Questão presente nas seguintes provas
Tome como base os dados contidos na tabela e na rede PERT/CPM, apresentadas abaixo, para resolver esta questão.

As siglas utilizadas são: Primeira Data de Início da atividade (PDI); Última Data de Início da Atividade (UDI); Primeira Data de Término da Atividade (PDT) e Última Data de Término da atividade (UDT); Folga Total (FT); Folga Livre (FL); Caminho Crítico (CC) e duração do projeto T.
A alternativa que corresponde ao cálculo do seguinte: duração do projeto (T), datas de atividade, folgas e caminho crítico da atividade 2-4 da rede é:

As siglas utilizadas são: Primeira Data de Início da atividade (PDI); Última Data de Início da Atividade (UDI); Primeira Data de Término da Atividade (PDT) e Última Data de Término da atividade (UDT); Folga Total (FT); Folga Livre (FL); Caminho Crítico (CC) e duração do projeto T.
A alternativa que corresponde ao cálculo do seguinte: duração do projeto (T), datas de atividade, folgas e caminho crítico da atividade 2-4 da rede é:
Provas
Questão presente nas seguintes provas
Cadernos
Caderno Container