Foram encontradas 49 questões.
- Gestão de ProcessosOrganizações, Sistemas e Métodos
- PODC: Processo OrganizacionalProcesso Administrativo: OrganizaçãoEstrutura Organizacional
Provas
Provas
- Lógica ProposicionalEquivalências Lógicas
- Lógica ProposicionalNegação de Proposições CompostasLeis de De Morgan
- Lógica ProposicionalProposições
Considere as três proposições compostas a seguir:
• P1. O juiz de futebol errou a marcação de pênalti e o jogador não fez falta.
• P2. Pedro faz exercícios ou faz caminhada.
• P3. Se o carro funcionar, então haverá aula prática de direção.
Assim, é correto afirmar que
Provas
Disciplina: Administração Financeira e Orçamentária
Banca: AOCP
Orgão: UFFS
Provas
Provas
Provas
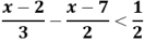
O menor número inteiro que satisfaz a desigualdade

também é raiz da equação mx – 15 = 45, em que m é um número real. Dessa forma, o valor de m é igual a
Provas
Crianças têm uma importante lição a ensinar: o hábito – e a falta de medo – de fazer perguntas
Por Marina Martini
Acho que uma das grandes contradições da nossa vida – e uma grande perda, em consequência – é o fato de que, quando mais precisamos aprender, mais temos vergonha de aprender. Já reparou? Quando somos pré-adolescentes, adolescentes, ou até mesmo jovens adultos, passamos por um período da vida em que reprimimos (a ponto de nos esquecermos dele) um dos hábitos mais saudáveis e fundamentais que cultivamos ao longo da infância: o de perguntar. Crianças, apontamos o dedo para tudo, querendo saber o que é, para que serve, como funciona.
(...)
Mas algo acontece ali pelos nossos nove, dez anos de idade. Desenvolvemos algo que normalmente nos acompanha ao longo da adolescência e até boa parte do início da vida adulta: a vergonha de não saber. Morremos de medo de admitir nossa ignorância a respeito deste ou daquele assunto – e preferimos sufocar ou ignorar perguntas que julgamos bobas ou “burras”. Às vezes, para não nos sentirmos deixados para trás, somos capazes de fingir que entendemos alguma coisa que, na verdade, deixou nossa mente borbulhando de dúvidas; ou que conhecemos um artista, um filme ou um lugar que foi citado numa conversa, simplesmente porque todos os outros participantes parecem conhecer (bem, talvez eles também estejam fingindo).
(...)
Tenho a sensação de que, para a maioria das pessoas, esse medo aos poucos vai passando – perto dos 30 anos, eu percebo que tenho muito menos vergonha da minha própria ignorância do que tinha aos 14 ou 21. Mas o problema está justamente aí: eu provavelmente nunca precisei tanto da ajuda dos outros, do conhecimento dos outros, da sabedoria dos outros, quanto dos 10 aos 25 anos de idade. A carência de conhecimento vai além daquele de que precisamos para ser aprovados nas séries escolares, no vestibular ou nas disciplinas da faculdade – o que mais faz falta é a sabedoria sobre a vida, sobre a carreira, sobre relacionamentos, sobre o futuro, sobre o mundo! Quanta ajuda eu poderia ter tido – e quão mais fácil minha adolescência podia ter sido – se eu tivesse sido menos tímida e mais humilde para perguntar? Humilde, sim – porque o que mais se vê são jovens arrogantes, que sequer se percebem arrogantes, mas que, do alto de seus 16 ou 17 anos, julgam saber mais que os pais, os professores, os avós, que, oras, aos 50 ou 70 anos, só podem ter mesmo ideias ultrapassadas e que não mais se aplicam a esse mundo.
Não podemos ter medo de aprender – seja lá a faixa etária em que estivermos. Eu quero dizer “não ter medo” em um sentido bastante amplo: não apenas não ter medo de dizer “não sei”, “não conheço”, “não li”, “não assisti”, “nunca ouvi falar”; não apenas não ter medo de fazer perguntas que parecem estúpidas à primeira vista ou de pedir ajuda quando necessário; não apenas não ter medo de pedir que um professor ou treinador repita uma informação ou uma série de instruções – mas também não ter medo de fazer uma análise sincera de seu conhecimento e sua sabedoria, e admitir quando houver lacunas a ser preenchidas. Não ter medo de conversar de verdade com seu chefe, seu professor (até mesmo com seus pais – quanta gente só conversa o estritamente necessário com pai e mãe?): eles são pessoas como você, e podem ficar felizes em dividir um pouco do conhecimento que têm.
(...)
Adaptado de:<https://www.revistaversar.com.br/criancas-e-suas-licoes/>
Provas
Crianças têm uma importante lição a ensinar: o hábito – e a falta de medo – de fazer perguntas
Por Marina Martini
Acho que uma das grandes contradições da nossa vida – e uma grande perda, em consequência – é o fato de que, quando mais precisamos aprender, mais temos vergonha de aprender. Já reparou? Quando somos pré-adolescentes, adolescentes, ou até mesmo jovens adultos, passamos por um período da vida em que reprimimos (a ponto de nos esquecermos dele) um dos hábitos mais saudáveis e fundamentais que cultivamos ao longo da infância: o de perguntar. Crianças, apontamos o dedo para tudo, querendo saber o que é, para que serve, como funciona.
(...)
Mas algo acontece ali pelos nossos nove, dez anos de idade. Desenvolvemos algo que normalmente nos acompanha ao longo da adolescência e até boa parte do início da vida adulta: a vergonha de não saber. Morremos de medo de admitir nossa ignorância a respeito deste ou daquele assunto – e preferimos sufocar ou ignorar perguntas que julgamos bobas ou “burras”. Às vezes, para não nos sentirmos deixados para trás, somos capazes de fingir que entendemos alguma coisa que, na verdade, deixou nossa mente borbulhando de dúvidas; ou que conhecemos um artista, um filme ou um lugar que foi citado numa conversa, simplesmente porque todos os outros participantes parecem conhecer (bem, talvez eles também estejam fingindo).
(...)
Tenho a sensação de que, para a maioria das pessoas, esse medo aos poucos vai passando – perto dos 30 anos, eu percebo que tenho muito menos vergonha da minha própria ignorância do que tinha aos 14 ou 21. Mas o problema está justamente aí: eu provavelmente nunca precisei tanto da ajuda dos outros, do conhecimento dos outros, da sabedoria dos outros, quanto dos 10 aos 25 anos de idade. A carência de conhecimento vai além daquele de que precisamos para ser aprovados nas séries escolares, no vestibular ou nas disciplinas da faculdade – o que mais faz falta é a sabedoria sobre a vida, sobre a carreira, sobre relacionamentos, sobre o futuro, sobre o mundo! Quanta ajuda eu poderia ter tido – e quão mais fácil minha adolescência podia ter sido – se eu tivesse sido menos tímida e mais humilde para perguntar? Humilde, sim – porque o que mais se vê são jovens arrogantes, que sequer se percebem arrogantes, mas que, do alto de seus 16 ou 17 anos, julgam saber mais que os pais, os professores, os avós, que, oras, aos 50 ou 70 anos, só podem ter mesmo ideias ultrapassadas e que não mais se aplicam a esse mundo.
Não podemos ter medo de aprender – seja lá a faixa etária em que estivermos. Eu quero dizer “não ter medo” em um sentido bastante amplo: não apenas não ter medo de dizer “não sei”, “não conheço”, “não li”, “não assisti”, “nunca ouvi falar”; não apenas não ter medo de fazer perguntas que parecem estúpidas à primeira vista ou de pedir ajuda quando necessário; não apenas não ter medo de pedir que um professor ou treinador repita uma informação ou uma série de instruções – mas também não ter medo de fazer uma análise sincera de seu conhecimento e sua sabedoria, e admitir quando houver lacunas a ser preenchidas. Não ter medo de conversar de verdade com seu chefe, seu professor (até mesmo com seus pais – quanta gente só conversa o estritamente necessário com pai e mãe?): eles são pessoas como você, e podem ficar felizes em dividir um pouco do conhecimento que têm.
(...)
Adaptado de:<https://www.revistaversar.com.br/criancas-e-suas-licoes/>
Provas
- SintaxePalavras com Múltiplas FunçõesFunções da Palavra “como”
- SintaxePalavras com Múltiplas FunçõesFunções da Palavra “que”
- Morfologia
Crianças têm uma importante lição a ensinar: o hábito – e a falta de medo – de fazer perguntas
Por Marina Martini
Acho que uma das grandes contradições da nossa vida – e uma grande perda, em consequência – é o fato de que, quando mais precisamos aprender, mais temos vergonha de aprender. Já reparou? Quando somos pré-adolescentes, adolescentes, ou até mesmo jovens adultos, passamos por um período da vida em que reprimimos (a ponto de nos esquecermos dele) um dos hábitos mais saudáveis e fundamentais que cultivamos ao longo da infância: o de perguntar. Crianças, apontamos o dedo para tudo, querendo saber o que é, para que serve, como funciona.
(...)
Mas algo acontece ali pelos nossos nove, dez anos de idade. Desenvolvemos algo que normalmente nos acompanha ao longo da adolescência e até boa parte do início da vida adulta: a vergonha de não saber. Morremos de medo de admitir nossa ignorância a respeito deste ou daquele assunto – e preferimos sufocar ou ignorar perguntas que julgamos bobas ou “burras”. Às vezes, para não nos sentirmos deixados para trás, somos capazes de fingir que entendemos alguma coisa que, na verdade, deixou nossa mente borbulhando de dúvidas; ou que conhecemos um artista, um filme ou um lugar que foi citado numa conversa, simplesmente porque todos os outros participantes parecem conhecer (bem, talvez eles também estejam fingindo).
(...)
Tenho a sensação de que, para a maioria das pessoas, esse medo aos poucos vai passando – perto dos 30 anos, eu percebo que tenho muito menos vergonha da minha própria ignorância do que tinha aos 14 ou 21. Mas o problema está justamente aí: eu provavelmente nunca precisei tanto da ajuda dos outros, do conhecimento dos outros, da sabedoria dos outros, quanto dos 10 aos 25 anos de idade. A carência de conhecimento vai além daquele de que precisamos para ser aprovados nas séries escolares, no vestibular ou nas disciplinas da faculdade – o que mais faz falta é a sabedoria sobre a vida, sobre a carreira, sobre relacionamentos, sobre o futuro, sobre o mundo! Quanta ajuda eu poderia ter tido – e quão mais fácil minha adolescência podia ter sido – se eu tivesse sido menos tímida e mais humilde para perguntar? Humilde, sim – porque o que mais se vê são jovens arrogantes, que sequer se percebem arrogantes, mas que, do alto de seus 16 ou 17 anos, julgam saber mais que os pais, os professores, os avós, que, oras, aos 50 ou 70 anos, só podem ter mesmo ideias ultrapassadas e que não mais se aplicam a esse mundo.
Não podemos ter medo de aprender – seja lá a faixa etária em que estivermos. Eu quero dizer “não ter medo” em um sentido bastante amplo: não apenas não ter medo de dizer “não sei”, “não conheço”, “não li”, “não assisti”, “nunca ouvi falar”; não apenas não ter medo de fazer perguntas que parecem estúpidas à primeira vista ou de pedir ajuda quando necessário; não apenas não ter medo de pedir que um professor ou treinador repita uma informação ou uma série de instruções – mas também não ter medo de fazer uma análise sincera de seu conhecimento e sua sabedoria, e admitir quando houver lacunas a ser preenchidas. Não ter medo de conversar de verdade com seu chefe, seu professor (até mesmo com seus pais – quanta gente só conversa o estritamente necessário com pai e mãe?): eles são pessoas como você, e podem ficar felizes em dividir um pouco do conhecimento que têm.
(...)
Adaptado de:<https://www.revistaversar.com.br/criancas-e-suas-licoes/>
Provas
Caderno Container