Foram encontradas 13 questões.
A expressão
é o mesmo que:
é o mesmo que:Provas
Questão presente nas seguintes provas
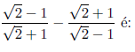
O valor da expressão 

Provas
Questão presente nas seguintes provas
Sobre as sentenças:

é correto afirmar que:
Provas
Questão presente nas seguintes provas
Cadernos
Caderno Container