Foram encontradas 13 questões.

Provas
Questão presente nas seguintes provas
A expressão 

Provas
Questão presente nas seguintes provas
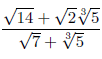
A expressão
é o mesmo que:
é o mesmo que:Provas
Questão presente nas seguintes provas
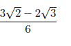
A expressão
é o mesmo que:
é o mesmo que:Provas
Questão presente nas seguintes provas
O número obtido ao simplificarmos a expressão 

Provas
Questão presente nas seguintes provas
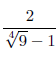
Racionalizando o denominador e simplificando a expressão 

Provas
Questão presente nas seguintes provas
O valor de
é:
é:Provas
Questão presente nas seguintes provas
A expressão numérica
tem valor:
tem valor:Provas
Questão presente nas seguintes provas
O valor da expressão
é:
é:Provas
Questão presente nas seguintes provas
A expressão
é o mesmo que:
é o mesmo que:Provas
Questão presente nas seguintes provas
Cadernos
Caderno Container