Foram encontradas 45 questões.
- Química OrgânicaFunções Nitrogenadas: Amina, Amida, Nitrila, Isonitrila e Nitro Composto
- Química OrgânicaFunções Oxigenadas: Cetona, Aldeído, Éter, Éster, Ácido Carboxílico etc.
O nome IUPAC para o seguinte composto é:

Provas
Questão presente nas seguintes provas
Sabendo que, para compostos orgânicos contendo o mesmo grupo funcional, a temperatura de ebulição
aumenta conforme aumenta sua massa molar e que, para compostos contendo grupos funcionais
diferentes, outros fatores devem ser considerados.
Para os seguintes compostos orgânicos abaixo, contendo 3 átomos de carbono cada um, espera-se que o que apresente a maior temperatura de ebulição seja
Para os seguintes compostos orgânicos abaixo, contendo 3 átomos de carbono cada um, espera-se que o que apresente a maior temperatura de ebulição seja
Provas
Questão presente nas seguintes provas
Cafeína é um alcalóide, encontrada em aproximadamente 60 tipos de plantas, como folhas de diversos
tipos de chás, fruto do guaraná, grãos de café, cacau, etc. Ela atua como um pesticida natural das
plantas, protegendo-as dos insetos. Em nosso organismo, ela é um estimulante do sistema nervoso
central, aumentando a agilidade e diminuindo a fadiga. 
Analisando a molécula de cafeína, é CORRETO afirmar que

Analisando a molécula de cafeína, é CORRETO afirmar que
Provas
Questão presente nas seguintes provas
- Química OrgânicaCadeias Carbônicas
- Química OrgânicaFunções Oxigenadas: Cetona, Aldeído, Éter, Éster, Ácido Carboxílico etc.
- Química OrgânicaPropriedades Químicas dos Compostos Orgânicos
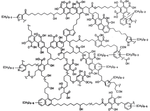
Ácidos húmicos, que junto com os ácidos fúlvicos e a humina, constituem o húmus, são compostos
produzidos pela decomposição da matéria orgânica vegetal, que apresentam estrutura hipotética de
acordo com a apresentada a seguir:
SCHULTEN, H.R. & SCHNITZER, M. Chemical model structures for soil organic matter and soils.SoilSci. 162: 115-130, 1997.
Na estrutura apresentada, é CORRETO afirmar que identificamos
SCHULTEN, H.R. & SCHNITZER, M. Chemical model structures for soil organic matter and soils.SoilSci. 162: 115-130, 1997.Na estrutura apresentada, é CORRETO afirmar que identificamos
Provas
Questão presente nas seguintes provas
- Química OrgânicaIsomeria Plana e Espacial
- Química OrgânicaPropriedades Físicas dos Compostos Orgânicos
O butanol e o éter dietílico são dois líquidos de fórmula molecular C4
H10O.
Com respeito a esses dois solventes, é CORRETO afirmar que
Provas
Questão presente nas seguintes provas
Considere a seguinte equação: N2
O4
(g) ⇌ 2 NO2
(g).
Sabe-se que, a 25°C, o equilíbrio se arranja de modo a formar 0,10 mols de N2 O4 e 0,02 mols de NO2 . A 90 °C são formados 0,050 mols de N2 O4 e 0,12 mols de NO2 .
Sabendo disso, é CORRETO concluir que
Sabe-se que, a 25°C, o equilíbrio se arranja de modo a formar 0,10 mols de N2 O4 e 0,02 mols de NO2 . A 90 °C são formados 0,050 mols de N2 O4 e 0,12 mols de NO2 .
Sabendo disso, é CORRETO concluir que
Provas
Questão presente nas seguintes provas
Em um reator de 25 litros, a 25°C, são adicionados 0,300 mols de NO; 0,200 mols de Cl2
e 0,500 mols
de NOCl. Quando o seguinte equilíbrio é atingido: 2NOCl(g) ⇌ 2 NO(g) + Cl2
(g)
0,600 mols de NOCl são obtidos.
O número de mols de Cl2
no equilíbrio é
Provas
Questão presente nas seguintes provas
- FundamentosPropriedades das Substâncias
- FundamentosTransformações: Estados Físicos e Fenômenos
- Química InorgânicaSoluções e Substâncias InorgânicasPropriedades Coligativas: Tonoscopia, Ebulioscopia, Crioscopia e Pressão Osmótica.
Suponha que, em um sistema fechado, temos um liquido em equilíbrio com seu vapor. Se aumentarmos
o volume, diminuindo a pressão, e depois aguardar o sistema retornar ao equilíbrio, é CORRETO afirmar
que o número de moléculas
Provas
Questão presente nas seguintes provas
O monóxido de carbono pode ser utilizado em uma reação de oxiredução na obtenção do ferro metálico,
através da equação (1), mostrada abaixo:
Fe2 O3 (s) + 3 CO(g) → 2 Fe(s) + 3 CO2 (g) equação (1)
Utilizando as equações termoquímicas abaixo:
CO(g) + 1/2 O2 (g) → CO2 (g) ΔH° = -283,0 kJ 2 Fe(s) + 3/2 O2 (g) → Fe2 O3 (s) ΔH° = -822,3 kJ
é CORRETO afirmar que o valor do ΔH para a equação (1) é
Fe2 O3 (s) + 3 CO(g) → 2 Fe(s) + 3 CO2 (g) equação (1)
Utilizando as equações termoquímicas abaixo:
CO(g) + 1/2 O2 (g) → CO2 (g) ΔH° = -283,0 kJ 2 Fe(s) + 3/2 O2 (g) → Fe2 O3 (s) ΔH° = -822,3 kJ
é CORRETO afirmar que o valor do ΔH para a equação (1) é
Provas
Questão presente nas seguintes provas
A primeira lei da termodinâmica ou lei de conservação de energia relaciona as variações da energia
interna de um sistema com as trocas de calor (q) e de trabalho (w) com o ambiente, segundo a equação:
∆E = q + w. Isso significa que a energia total do universo é constante.
Sendo assim, se um sistema realiza 25 J de trabalho e recebe 43 J de calor, é CORRETO afirmar que a variação de energia interna para esse processo é igual a:
Sendo assim, se um sistema realiza 25 J de trabalho e recebe 43 J de calor, é CORRETO afirmar que a variação de energia interna para esse processo é igual a:
Provas
Questão presente nas seguintes provas
Cadernos
Caderno Container