Foram encontradas 45 questões.
Provas
Provas
Provas
Provas
No ambiente externo, o coeficiente de convecção é 10 W/m2 K e a temperatura externa é de 40ºC. No ambiente interno, o coeficiente de convecção é de 5 W/m2 K e a temperatura interna é de 20ºC.
A quantidade de calor transferida do ambiente externo para o interno através da parede é:
Provas
Um trocador de calor em contra corrente possui o esquema apresentado na figura abaixo:

Um fluido frio com calor específico de 4000 J/kgK entra no trocador de calor a 10ºC com vazão mássica de 1 kg/s. Na outra corrente, um fluido quente com calor específico de 2000 J/kgK entra no trocador de calor a 80ºC e vazão mássica de 10 kg/s. Sabe-se que o trocador de calor possui um UA de 1000 W/K e a sua média logarítma de temperaturas é 20ºC.
As temperaturas de saída dos fluidos frio e quente são, respectivamente:
Provas
Desprezando o efeito do peso próprio, são tensões atuantes no ponto A desta árvore: Provas
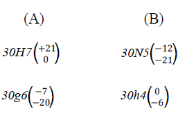
Nas especificações do projeto mecânico de um acoplamento eixo-furo de 30 mm, foram dadas as seguintes informações:

É CORRETO afirmar que os ajustes indicados são, respectivamente:
Provas
Considera os símbolos a seguir:

De acordo com a norma para indicação de tolerâncias geométricas em desenhos técnicos, esses símbolos indicam, respectivamente:
Provas
Considere o par de engrenagens cilíndricas de dentes retos da figura a seguir:

Sabendo que a engrenagem E1 possui 30 dentes, a engrenagem E2 possui 40 dentes e o módulo das engrenagens é igual a 5 mm, a distância L é igual a:
Provas
Caderno Container