Foram encontradas 35 questões.
Considere uma variável aleatória X normalmente distribuída, com parâmetros desconhecidos. Uma
amostra de tamanho 9 de X forneceu
= 11,0 e s = 1,61.
É CORRETO afirmar que o intervalo de 95% de confiança para µ e o p-valor para o teste Ho: µ = 10 versus Ha: µ ≠ 10 são dados por
Provas
Questão presente nas seguintes provas
Considere uma variável aleatória X normalmente distribuída, com média µ desconhecida e desvio-padrão σ = 3.
Considere as hipóteses Ho: µ ≤ 10 versus Ha: µ > 10.
Em uma amostra de tamanho 9, a hipótese nula será rejeitada quando
> 12,5.
É CORRETO afirmar que o nível de significância α e o poder do teste quando µ = 13 são iguais a
Provas
Questão presente nas seguintes provas
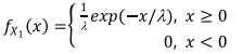
Sejam X1, X2,..., Xn observações de uma amostra aleatória da distribuição exponencial com parâmetro λ > 0 , isto é,

Sabe-se que, se
então y/n é o único estimador não viciado e de mínima variância para λ, e Var (y/n) = λ2/n .
É CORRETO afirmar que o único estimador não viciado e de mínima variância para Var(y/n) é dado por

Sabe-se que, se
então y/n é o único estimador não viciado e de mínima variância para λ, e Var (y/n) = λ2/n . É CORRETO afirmar que o único estimador não viciado e de mínima variância para Var(y/n) é dado por
Provas
Questão presente nas seguintes provas
A Lei 11.091/2005 dispõe sobre a estruturação do plano de carreira dos cargos técnico-administrativos
em educação no âmbito das Instituições Federais de Ensino vinculadas ao Ministério da Educação.
No Capítulo V, a Lei descreve como se dá o ingresso e as formas de desenvolvimento do servidor na
carreira.
Assinale a alternativa que descreve a Progressão por Mérito Profissional.
Assinale a alternativa que descreve a Progressão por Mérito Profissional.
Provas
Questão presente nas seguintes provas
A demissão ou destituição de cargo em comissão por aplicação irregular de dinheiros públicos
incompatibiliza o ex-servidor para nova investidura em cargo público federal pelo prazo de 5
(cinco) anos.
Após examinar a assertiva, assinale a alternativa CORRETA, considerando a justificativa apontada.
Após examinar a assertiva, assinale a alternativa CORRETA, considerando a justificativa apontada.
Provas
Questão presente nas seguintes provas
Cadernos
Caderno Container