Magna Concursos

Foram encontradas 260 questões.

2972487 Ano: 2023
Disciplina: Estatística
Banca: Verbena
Orgão: UFNT
Provas:
Três setores (A, B e C) de uma universidade utilizam análises estatísticas. Para quantificar o conhecimento dos servidores sobre o assunto, foi aplicado um teste. No setor A, 11 servidores realizaram o teste, no setor B, 10 e no setor C, 7 servidores. Com o objetivo de comparar se a média dos escores obtidos pelos três setores são iguais realiza-se uma análise de variância (ANOVA). Considerando que a soma dos quadrados entre os setores é 600 e a soma dos quadrados total é 1.350, qual é o valor da estatística do teste?
 

Provas

Questão presente nas seguintes provas
2972486 Ano: 2023
Disciplina: Estatística
Banca: Verbena
Orgão: UFNT
Provas:
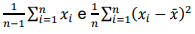
Considerando uma amostra de tamanho n da distribuição normal com média (μ) e variância (σ2 ), os estimadores de máxima verossimilhança para μ e σ2 são dados, respectivamente, por:
 

Provas

Questão presente nas seguintes provas
2972485 Ano: 2023
Disciplina: Estatística
Banca: Verbena
Orgão: UFNT
Provas:
No planejamento de experimentos, os três princípios básicos da experimentação são:
 

Provas

Questão presente nas seguintes provas
2972484 Ano: 2023
Disciplina: Administração Geral
Banca: Verbena
Orgão: UFNT
Provas:
Quais são os três pilares fundamentais da responsabilidade social corporativa associados à Administração?
 

Provas

Questão presente nas seguintes provas
2972483 Ano: 2023
Disciplina: Administração Geral
Banca: Verbena
Orgão: UFNT
Provas:
Como análises SWOT e PEST são descritas em relação ao planejamento estratégico de uma empresa?
 

Provas

Questão presente nas seguintes provas
2972482 Ano: 2023
Disciplina: Administração Geral
Banca: Verbena
Orgão: UFNT
Provas:
Qual é o propósito principal da abordagem “Triple Bottom Line” (Triple P) na promoção da sustentabilidade organizacional?
 

Provas

Questão presente nas seguintes provas
2972481 Ano: 2023
Disciplina: Administração Geral
Banca: Verbena
Orgão: UFNT
Provas:
No contexto do desempenho organizacional, diversos conceitos, como eficiência, eficácia, efetividade e produtividade, desempenham papéis cruciais. Qual conceito se concentra na relação entre os resultados alcançados e os objetivos estabelecidos por uma organização?
 

Provas

Questão presente nas seguintes provas
2972480 Ano: 2023
Disciplina: Administração Geral
Banca: Verbena
Orgão: UFNT
Provas:
Qual método de pesquisa de mercado é mais adequado para coletar informações detalhadas e qualitativas sobre as motivações dos clientes?
 

Provas

Questão presente nas seguintes provas
2972479 Ano: 2023
Disciplina: Administração Geral
Banca: Verbena
Orgão: UFNT
Provas:
A matriz de Ansoff é uma ferramenta valiosa para as empresas planejarem suas estratégias de crescimento, ajudando a identificar oportunidades e riscos associados a cada opção de expansão. Qual estratégia na Matriz Ansoff envolve a introdução de novos produtos ou serviços em mercados existentes?
 

Provas

Questão presente nas seguintes provas
2972478 Ano: 2023
Disciplina: Administração Geral
Banca: Verbena
Orgão: UFNT
Provas:
Leia o texto a seguir.

Em um processo de elaboração do planejamento, particularmente no que diz respeito ao planejamento operacional, é imperativo levar em consideração a presença de riscos. Esses riscos podem ser descritos como eventos ou condições que têm o potencial de influenciar adversamente a execução ou os resultados de uma atividade específica. Como tal, uma etapa essencial no planejamento operacional é a formulação de ações preventivas e corretivas relacionadas aos riscos identificados.


A ferramenta que auxilia os gestores na avaliação desses riscos é
 

Provas

Questão presente nas seguintes provas