Foram encontradas 30 questões.
3129262
Ano: 2024
Disciplina: TI - Organização e Arquitetura dos Computadores
Banca: FUNDEP
Orgão: UFOP
Disciplina: TI - Organização e Arquitetura dos Computadores
Banca: FUNDEP
Orgão: UFOP
Provas:
Prover a segurança em sistemas de informação se torna
algo fundamental para a continuidade das operações
nas organizações.
Com base nessa informação, assinale o modelo RAID (Redundant Array of Inexpensive Disks) o qual garante a segurança dos dados por meio do espelhamento das informações armazenadas.
Com base nessa informação, assinale o modelo RAID (Redundant Array of Inexpensive Disks) o qual garante a segurança dos dados por meio do espelhamento das informações armazenadas.
Provas
Questão presente nas seguintes provas
Analise o diagrama a seguir.
De que tipo é o diagrama apresentado?
De que tipo é o diagrama apresentado?
Provas
Questão presente nas seguintes provas
Analise o trecho em Java a seguir.

Assinale a alternativa que apresenta o recurso de programação que está sendo utilizado nos métodos cal implementados no trecho em Java.
Provas
Questão presente nas seguintes provas
Assinale o diagrama UML que deverá ser utilizado para
representar a ordem na qual os objetos interagem.
Provas
Questão presente nas seguintes provas
Assinale o método de programação no qual o programador
utiliza um recurso em que um procedimento chama a
si mesmo, direta ou indiretamente, para realizar uma
determinada operação.
Provas
Questão presente nas seguintes provas
Analise o método de ordenação representado pelo algoritmo
a seguir.
• Dividir recursivamente o vetor a ser ordenado em dois, até obter n vetores de 1 único elemento.
• Aplicar a intercalação tendo como entrada 2 vetores de um elemento, formando um vetor ordenado de dois elementos.
• Repetir esse processo formando vetores ordenados cada vez maiores, até que todo o vetor esteja ordenado.
Qual é o método de ordenação representado pelo algoritmo?
• Dividir recursivamente o vetor a ser ordenado em dois, até obter n vetores de 1 único elemento.
• Aplicar a intercalação tendo como entrada 2 vetores de um elemento, formando um vetor ordenado de dois elementos.
• Repetir esse processo formando vetores ordenados cada vez maiores, até que todo o vetor esteja ordenado.
Qual é o método de ordenação representado pelo algoritmo?
Provas
Questão presente nas seguintes provas
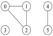
Analise o grafo a seguir.

Com base nesse grafo, assinale a alternativa correta.
Provas
Questão presente nas seguintes provas
Assinale o diagrama UML que tem como objetivo apresentar
o sistema em um determinado momento específico
do tempo.
Provas
Questão presente nas seguintes provas
Analise o algoritmo a seguir.
• Passo 1. Encontre o menor item do vetor
• Passo 2. Troque-o de lugar com o item da primeira posição do vetor.
• Passo 3. Repita essas duas operações com os n − 1 itens restantes, depois com os n − 2 itens, até que reste apenas um elemento.
Qual é o método de ordenação descrito pelo algoritmo?
• Passo 1. Encontre o menor item do vetor
• Passo 2. Troque-o de lugar com o item da primeira posição do vetor.
• Passo 3. Repita essas duas operações com os n − 1 itens restantes, depois com os n − 2 itens, até que reste apenas um elemento.
Qual é o método de ordenação descrito pelo algoritmo?
Provas
Questão presente nas seguintes provas
Assinale o tipo de recurso em rede que age como um
intermediário entre o usuário e a internet, recebe e
repassa as suas requisições ao destino que um usuário
está acessando.
Provas
Questão presente nas seguintes provas
Cadernos
Caderno Container